講義中に配布した宿題の解答例などの配布プリントを、 画像ファイルと PDF ファイルにして置きます。 手書きのものは多少 (かなり ?) 見にくいですが、 配布しているものと同じものです。
| 講義回 (日) | 内容 | ファイル | 備考 |
|---|---|---|---|
| 15 週目 (07/27 2016) | 発散定理、ストークスの公式の応用 (定理 4.3,4.6) | 画像ファイル, PDF ファイル | |
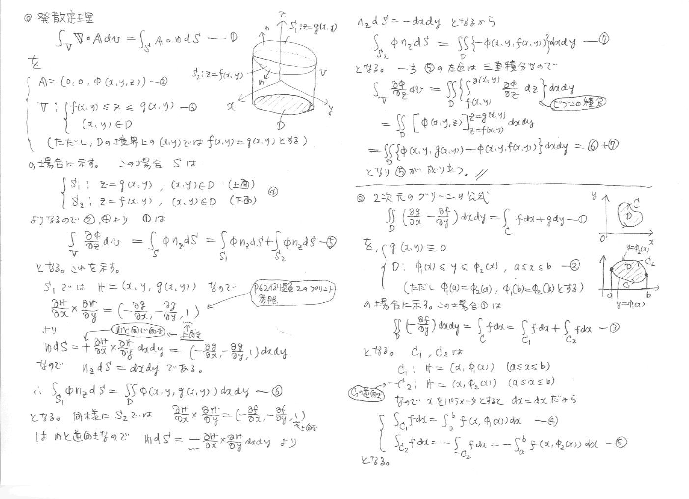
| 14 週目 (07/20 2016) | 発散定理、2 次元のグリーンの公式の証明 | 画像ファイル, PDF ファイル | |
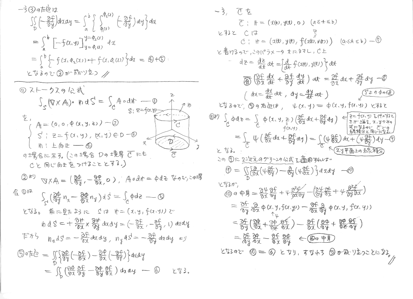
| ストークスの公式の証明 | 画像ファイル, PDF ファイル | ||
| 13 週目 (07/13 2016) | 穴のある領域での反例とベクトルポテンシャル | 画像ファイル, PDF ファイル | |
| 11 週目 (06/29 2016) | 発散と回転の意味 | 画像ファイル, PDF ファイル | |
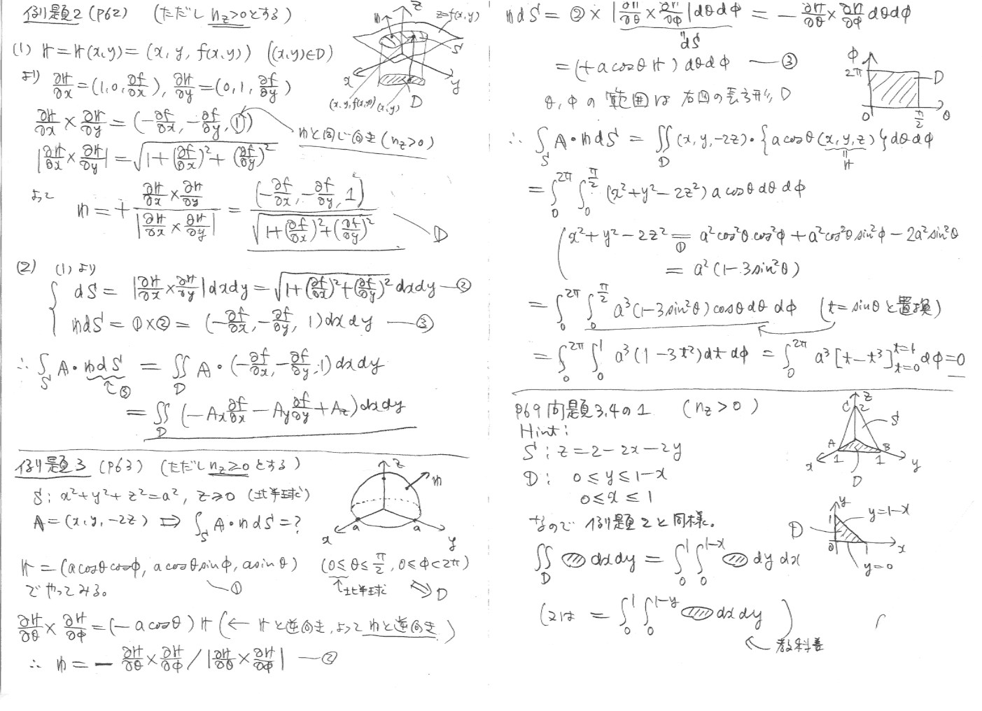
| 10 週目 (06/23 2016) | p62-63 例題 2,3 と宿題のヒント | 画像ファイル, PDF ファイル | |
| 9 週目 (06/15 2016) | 単位法ベクトル、面積素、面積分 | 画像ファイル, PDF ファイル | |
| 8 週目 (06/08 2016) | ビオ・サバールの法則に関して | 画像ファイル, PDF ファイル | |
| 7 週目 (06/01 2016) | 線積分の定義と計算式 | 画像ファイル, PDF ファイル |
| 講義回 (日) | 内容 | ファイル | 備考 |
|---|---|---|---|
| 14 週目 (07/22 2015) | 発散定理、ストークスの公式の応用 (定理 4.3,4.6) | 画像ファイル, PDF ファイル | |
| 13 週目 (07/15 2015) | 発散定理、2 次元のグリーンの公式の証明 | 画像ファイル, PDF ファイル | |
| ストークスの公式の証明 | 画像ファイル, PDF ファイル | ||
| 12 週目 (07/08 2015) | 穴のある領域での反例とベクトルポテンシャル | 画像ファイル, PDF ファイル | |
| 10 週目 (06/24 2015) | p62-63 例題 2,3 と宿題のヒント | 画像ファイル, PDF ファイル | |
| 発散と回転の意味 | 画像ファイル, PDF ファイル | ||
| 9 週目 (06/17 2015) | 単位法ベクトル、面積素、面積分 | 画像ファイル, PDF ファイル | |
| 8 週目 (06/10 2015) | ビオ・サバールの法則に関して | 画像ファイル, PDF ファイル | |
| 7 週目 (06/03 2015) | 線積分の定義と計算式 | 画像ファイル, PDF ファイル |
| 講義回 (日) | 内容 | ファイル | 備考 |
|---|---|---|---|
| 15 週目 (07/30 2014) | 発散定理、ストークスの公式の応用 (定理 4.3,4.6) | 画像ファイル, PDF ファイル | |
| 14 週目 (07/16 2014) | 発散定理、2 次元のグリーンの公式の証明 | 画像ファイル, PDF ファイル | |
| ストークスの公式の証明 | 画像ファイル, PDF ファイル | ||
| 13 週目 (07/09 2014) | 穴のある領域での反例とベクトルポテンシャル | 画像ファイル, PDF ファイル | |
| 11 週目 (06/25 2014) | 発散と回転の意味 | 画像ファイル, PDF ファイル | |
| 10 週目 (06/18 2014) | 単位法ベクトル、面積素、面積分 | 画像ファイル, PDF ファイル | |
| p62-63 例題 2,3 と宿題のヒント | 画像ファイル, PDF ファイル | ||
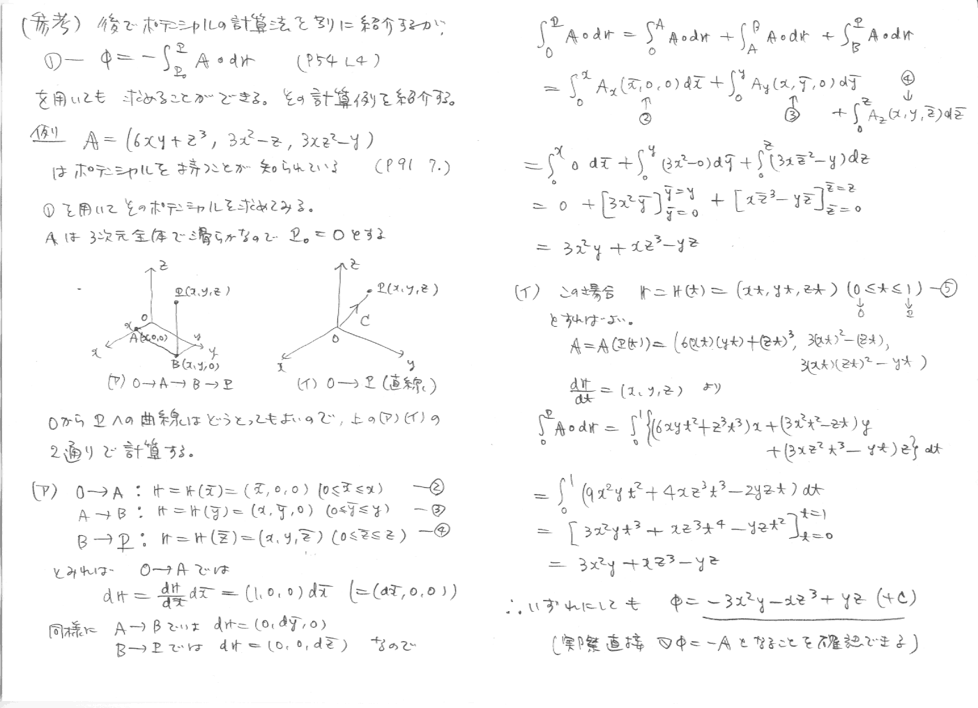
| 9 週目 (06/11 2014) | 線積分によるポテンシャルの計算例 | 画像ファイル, PDF ファイル | |
| 8 週目 (06/04 2014) | 講義アンケートについて | PDF ファイル | |
| ビオ・サバールの法則に関して | 画像ファイル, PDF ファイル | ||
| 7 週目 (05/28 2014) | 線積分の定義と計算式 | 画像ファイル, PDF ファイル |
後期試験を採点してみましたが、いくつか注意すべき間違いがありました。 それをここで紹介します。
HTML 版に PDF ファイルへのリンクを貼りました。
(01/17 2009)
2004 年度の最後の講義のおしまいの部分の話が やや中途半端になってしまいましたので、 ここにその補足を載せておきます。
HTML 版に PDF ファイルへのリンクを貼りました。
(01/17 2009)
後期試験を採点してみましたが、いくつか注意すべき間違いがありました。 それをここで紹介します。
HTML 版に PDF ファイルへのリンクを貼りました。
(01/17 2009)
教科書 27 ページに、ベクトル関数の不定積分の定義が載っていますが、 それは通常の 1 変数関数の不定積分とはやや違っているようなので、 例年、通常の 1 変数関数の不定積分と同等の定義をしているのですが、 そうすると、厳密にはその下に書かれている公式は多少修正が必要となります。
これは講義からは少し外れた議論になると思いますので、 講義では詳しくは説明はせずに、ここにまとめておくことにします。
HTML 版に PDF ファイルへのリンクを貼りました。
(01/17 2009)
講義中に紹介した、数学者や科学者の紹介の WWW ページへのリンクを貼っておきます。 主に、以下の数学史のページ:
目次に戻る