応用数理 A (新潟大学工学部 2 年) の Q and A

(機能材料工学科)

はじめに

講義等で受けた質問、およびその回答をここにあげておきます。
(06/06 2011 更新)

質問順に並べていたものを、多少分類しました。
(4/24 2012 更新)


応用数理 A のページへ戻る

Q and A 目次


Q and A 本文


1. 講義形態/運営に関する質問


Q.1.1 質問するときはどうしたらいいか

A.1.1

質問は構いませんが、私は非常勤でそちらへ行っていますので、 そちらの大学に常時いる部屋はありません。 よって

のいずれかだろうと思いますが、 非常勤講師室に来る時間は明確には決まっていませんし、 メールでは数式を表現しづらいので、講義中か講義終了後がいいでしょう。

なお、できれば講義中に質問してください。 あなたがわからない、ということは他の人もわからない可能性が高いですから、 講義中に質問すればその回答を皆で共有することができます。
(04/24 2003)

Q and A 目次へ戻る

Q.1.2 お勧めの参考書、問題集はないか

A.1.2

大学では、よほど一般的な科目でなければ 高校のような参考書や問題集といったものはありません。 とりあえずこの教科書でも十分勉強できると思いますが、 何かあげるとすれば、シラバスでも紹介している

あたりでしょうか。これはかなり問題がたくさんついています。
(05/16 2003)

特におすすめ、というわけではありませんが、 今年の講義では以下の本も参考図書として紹介しました。

これは、ベクトル解析に限った内容ではありませんが、 ベクトル解析に関連する内容も多く含まれています。 物理屋さんらしく、直観的にわかるような説明を心がけているようで (私には無理)、 工学の学生には、むしろこういう説明の方がわかりやすいのかもしれません。
(07/21 2011)

Q and A 目次へ戻る

Q.1.3 テストは宿題のようなものが出るのか

A.1.3

テストに関しては、テストの前にお話しします。

なお、そろそろテストや単位のための勉強、 という考え方は捨てたらどうでしょうか。 講義はテストのためにやっているのではありません。 皆さんがこれから専門科目を勉強する際、 あるいは社会に出た際に大学卒としての武器 (教養) として身につけるべき物だと思ってください。
(06/05 2005)

Q and A 目次へ戻る

Q.1.4 テキストの答えはもらえないか

A.1.4

意味が良く分かりませんが、

ということを考えておられるのでしたらそれは間違いです。 大学の教科書にそんなものはなく、 私が持っているものは皆さんが持っているものと同じものです。

そうではなくて、

という意味なら甘えすぎです。 それにこの教科書は他の本に比べても 問題の解答が親切についている方だと思います。 問題だけで解答が一切ない、なんていう教科書ですら普通にありますよ。
(06/05 2005)

Q and A 目次へ戻る

Q.1.5 レポートは課さないのか

A.1.5

レポートを課す予定はありません。それは、 レポートを課しても同じようなレポートが出て来ることが予想されるからです。

日本では「独創性」よりも「協調性」が優先されるためか、 大学のレポートでも、独創的なもの、というよりも 模範解答的なものを引き写したもの、というものが求められる、 あるいはそういうものが評価される傾向にあるように思います。 しかも、人のレポートを写したものでさえ、 さほど問題視されないことが多いようですが、 アメリカの大学では人のレポートを写せば その時点でそれらの学生は退学となります。 しかし、日本ではそういう対処を取ることは非常に難しいです。

つまり、日本の大学でレポートを課しても、 それを正当に評価することは難しいという事情があります。 それは、ちゃんと真面目にレポートを書いた人に取っては損にもなりますし、 それは避けるべきだと思います。

そもそも、何故レポートを課して欲しいか、という理由が 「期末試験だけで成績判定されるのがいや」のようですが、 成績は、みなさんが身につけた実力を判定することですから、 テストだけで判定しても何ら問題はないと考えます。
(06/08 2004)

Q and A 目次へ戻る

Q.1.6 講義で取り上げなかった演習問題はやる必要はないのか

A.1.6

講義で取り上げなかった演習問題は

など色々あります。「必要」というのは目的によっても変わって来ますし。 とりあえずは指定した問題をこなして、 余裕がある、またはもっとやらないと身につかない、とか やってみたい、と思ったら自分でやってください。 本来問題の選択も含めてすべて自分でやるべきことです。
(05/15 2002)

Q and A 目次へ戻る

Q.1.7 テストはいつ頃になるか

A.1.7

一番最後、通常のテスト期間中に行なわれます。
(06/08 2004)

Q and A 目次へ戻る

Q.1.8 試験は教科書、ノート持ち込み可か

A.1.8

試験については、試験の前に話をします。 今の段階で試験について返答する必要性を感じません。

そもそも大学の講義は、試験のためにやっているわけではありません。 皆さんが社会に出て必要となる知識、武器となる知識を解説するのが講義です。 皆さんも、「テストのための授業」などという意識は早く捨てた方がいいでしょう。
(06/13 2006)

Q and A 目次へ戻る

Q.1.9 教科書はどのあたりまでやるか

A.1.9

シラバスに、最後の 2 週位で積分定理 (発散定理、ストークスの公式) まで、 と書いてあるように、だいたい第 4 章 (積分公式) のあたりまでです。 ただ、進度などによって、その手前で終わる年もあります。

本当は、第 II 部の 5 章や、追補に書いてある内容がおもしろいのですが、 そこまで行くようにペースを上げると、 また学生の不満も多くなり、理解度も下ると思いますので、 それはするつもりはありません。

ただ、第 4 章までをちゃんと理解していれば、 第 II 部の話は自分でも読めるようになっていると思いますので、 興味があれば自分で読んで見てください。 大学、というのは本来そういう場です。
(06/12 2007)

Q and A 目次へ戻る

Q.1.10 教科書にだいぶ文句をつけているようだがそれなら教科書を変えたら

A.1.10

確かに、この教科書の書き方には気になるところが色々あり、 それに関しては別な説明をしたり、プリントで補ったりしました。 それでもこの教科書をあえて使用している理由は以下の通りです。

だから、今のところこの教科書を変えるつもりはありませんが、 これよりもいい教科書があればもちろん変えてもいいと思っています (実は今、心を動かされている本が 1 つあります)。

教科書に対する批判を行わない授業をするには、 本当は教科書を一切使用せず、ノート講義とするのが一番なのですが (数年前までやっていた応用数理 B ではそうしていました)、 何らかの本を参考書として買ったときに、 ベクトル解析の本は本によってかなり記号の使い方などが違うので、 それでこの講義ではあえて教科書を指定しているわけです。
(07/22 2010)

Q and A 目次へ戻る

Q.1.11 教科書の各問題を全て答えられるなら 学習到達度としてはどのくらいなのか

A.1.11

あまり聞いたことのない話ですが、 新潟大学では「学習到達度」というものを数値化でもしているんでしょうか。

私には「学習到達度」を数値化することは難しいので、 「まあまあ」なんでは、と答える程度です。

「教科書の問題に答える」
ということが目標ではなく、むしろ、
「理論を正しく理解して、他の講義や他の必要な場面で ちゃんと利用、応用ができる」
ということが多分最終的な目標でしょう (数値化なんてできませんよね)。
(06/06 2011)

Q and A 目次へ戻る

Q.1.12 教科書が売り切れていたが取り寄せることは可能か

A.1.12

大学の教科書は、高校までの教科書と違い、 特別な入手ルートが必要なものではありませんので、 書名と著者と出版社さえ言えば、一般の書店でも取り寄せることは可能です。

もちろん、大学生協で取り寄せることも可能だと思います。 詳しくは、私に聞くより、大学生協に問い合わせてください。
(04/24 2012)

Q and A 目次へ戻る

Q.1.13 他学科の学生でも聴講は可能か

A.1.13

私は新潟大学の履習登録のルールはよく知りませんが、 そのルールが許す範囲内であれば聴講は可能です。 私から聴講を拒否することはありません。
(04/24 2012)

Q and A 目次へ戻る

Q.1.14 今日の .... は良くわからなかったが使えるようにならないとダメか

A.1.14

聞いたばかりというのはわからないことが多いものです。 我々も、すべての学生が講義時間内にすべてわかるようには講義はしていません。 講義以外に自分で勉強 (復習、宿題) をして理解してください。 大学の単位とは、そのようになっています。
(06/03 2013)

Q and A 目次へ戻る

2. ベクトル解析全般に関する質問


Q.2.1 A の太字を書く場合、線を付け足すのは右の線でも左の線でも良いのか

A.2.1

結構です (実は、詳しくは知りませんが、少なくとも私は構わないだろうと思います)。
(06/05 2005)

Q and A 目次へ戻る

Q.2.2 「函数」は「関数」のことか

A.2.2

説明しませんでしたか。その通りです。

昔は「関数」は「函数」と書きました。 元々中国で function を漢字に当てはめるときに音と意味を考えて 「函数」と当てはめられたものが日本に来たものです。 中学校では「函数」をブラックボックスで説明することもあり、 「函数」の方がぴったりしていますよね。 日本でもしばらくは「函数」が使われていたのですが、 当用漢字だったか教育漢字だったかに「函」の字が入っていなかったために 便宜的に「関数」が当てはめられてしまった、という全く不条理な熟語なのです。 よって私は今でも「関数」を「函数」と書いています。

なお、日本数学会には今でも「函数」を使った「函数方程式分科会」があります。
(05/15 2002)

Q and A 目次へ戻る

Q.2.3 内積や外積の「内」「外」とは何か

A.2.3

少し調べてみたのですが、結論から言うとよくわかりませんでした。

ただ、内積 (inner product)、外積 (exterior product) という言葉を使ったのは、H.G.Grassmann (1809-1877 普) で、 彼は以下のような記号を使っていたようです (cf. [1])。

もしかすると、この記号から内積、外積と呼んだのかもしれません。

内積、外積の代わりにスカラー積、ベクトル積と書いてもいいか、 とも聞かれましたが、それはもちろん構いません。

なお特に外国では、書き方に由来して、 内積を「ドット積」(AB)、 外積を「クロス積」(A×B)、 とも呼ぶようです。 「クロス」は、記号だけではなくて、 成分による計算方法にも通じているのかもしれません。

参考文献:
(04/18 2009)

追加ですが、以下を参照してください。


(04/24 2012)

Q and A 目次へ戻る

Q.2.4 ベクトルは、太字でなく、上に→を書いてもいいか

A.2.4

ノートにそう書いてもいいか、ということでしたら、 どんな記号で書こうが、どんな言語で書こうが全く構いません (というかそんなことを強制できる立場にはありません)。

試験でそう書いてもいいか、ということでしたら、 とりあえず間違いではないので、例年減点とはしていません。 しかし、試験の答案とはそもそも採点者に 講義をどれくらい理解したかを見せるためのものですから、 特別な理由がない限り、自分の都合で自分の記号で書きたい、 というものではないような気がします。

「慣れない記号を使うのは大変なので」という理由もあるようですが、 少なくとも私には「大変」とは思えません。

それに「この講義からは学ばない、講義の流儀に従いたくない」 という宣言に見えなくもないのですが、 むしろそういう姿勢自体が若干気になります。
(06/07 2010; 04/21 2016 更新)

Q and A 目次へ戻る

Q.2.5 P の下に横線を板書しているのはどういう意味か

A.2.5

大文字の P と小文字の p は、手書き文字では区別が難しいので、 それを見分けるためのものです。 フォントの用語で言うセリフを強調したものだと考えてください。

他にも、大文字と小文字の区別がつきにくいアルファベットは、 大文字の方はセリフを強調して書くことがあります。 例えば、C や S の書き始め (右上)、I の上下、J の上、K の下や Z の書き終わり (右下) などのセリフを強調して書くことが多いです。 U,V,W には上に長い線を渡します。

他に、X と S は、小文字の方は筆記体で書くようにしています。
(05/28 2014)

Q and A 目次へ戻る

3. ベクトル解析、教科書の内容に関する質問


3.A 第 1 章 ベクトルの代数


Q.3.A.1 ベクトル I と書いたのは電流の流れの方向か、電子の流れの方向か

A.3.A.1

電流の流れの方向です。

講義中に「電子の流れは電流の流れの逆」などと余計なことを言ったために このような疑問が出たのだと思いますが、 I は電流の流れの方向として書きました。 私は専門が数学なので物理分野には必ずしも詳しいわけではありませんが、 以下に私の知る範囲で説明しておきます。

現在、電気分野では電流の流れる方向は+から−であるとしていますが、 実際には電流の流れを作っている電子の流れる方向はその逆で、 −から+の方向へ流れています。 それでつじつまがあっているのは電子が負の電荷を持っているからです。

元々「電流が+から−へ正の電荷を運んでいる」と考えられていたのが その後の観測によって実際には 「電流は、負の電荷を持つ電子が−から+へ流れることで生じている」 ことがわかったようです。 しかし、両者は現象としては同じことと考えられるので 現在でも前者の考え方を使うのが習慣となっています。 講義のフレミングの法則の説明では、それをさらに発展させた形で 「電流は、正の電荷を持つ荷電粒子が+から−へ流れている」 という仮想的な形でお話しましたが、 そのように考えてもあまり問題はないようで 色々な本でそういった説明が使われているようです。
(04/24 2003)

Q and A 目次へ戻る

Q.3.A.2 ベクトルモーメントの「A の OP に対する垂直成分」とはどういうことか

A.3.A.2

これは、束縛ベクトル A が力であるときのベクトルモーメントの説明で 出した話です。

「垂直成分」とは、中学校でもやったと思いますが、力 A の分解の話で、 A を OP 方向の成分と、OP に垂直な方向の成分に分けて考えた場合の 後者を意味しています。 O が支点で OP が棒であると考えた場合、 A の OP 方向の成分は棒を真っ直ぐ引っ張るだけで回転とは関係なく、 OP を O の周りに回転させるのは A の OP に垂直な成分だけです。 ベクトルモーメントの大きさには、丁度その垂直成分が出てくるので、 回転と関係している、という話でした。
(04/23 2009)

Q and A 目次へ戻る

Q.3.A.3 有向体積の「向き」とは

A.3.A.3

このベクトル解析の教科書には「有向体積」「有向面積」という言葉が出てきますが、 これは「符号付き体積」「符号付き面積」と呼ばれることもあります。 その言葉からも分かるように、実際には「有向」とはいっても ベクトルのような「向き」があるわけではなく、 通常正の値しか取らないはずの体積や面積に、 単にプラスかマイナスかの符号がつくだけのことを意味しています。 つまり正の向きだけではなく、「負の向き」も持つ、 という意味で「有向」と言っています。

例えば 1 変数関数の定積分の値もそれを面積と見るときは、 x 軸の下の部分の面積は負と勘定することになっていますが、 それとほぼ同様です。 x 軸の下の部分の面積を負と数えて全体の和を考えることで 意味を持つ場合が多いためにそのような定義になっているのですが、 「符号付きの体積」「符号付きの面積」も同様の理由で用いられることがあります。

そもそも式を見れば、「有向体積」も「有向面積」も内積の値なので、 ベクトルではなくスカラーであることは容易にわかると思いますが、 「ベクトル = 有向線分」ですから、 確かに「有向」という言葉は誤解を与えるかもしれません。
(04/23 2009)

Q and A 目次へ戻る

Q.3.A.4 剛体の回転で vr×ω が平行となる理由がわからない

A.3.A.4

これは教科書 12 ページの話の説明に出てきたもので、 講義では以下のように説明しました:

vr かつ vω だから vr×ω は平行
外積 r×ω は、 その定義から r にも ω にも垂直ですが、 3 次元空間ではそのような方向は、 rω が平行でなければ一つに決まります (上か下かの向きを除いて)。

vrω に垂直なので、 よって v もその同じ方向になります (同じ向きか逆向き)。 だから vr×ω は平行 (同じ向きか逆向き) になるわけです。

ちなみに、N 次元のベクトル空間 (V) では、 k 個の一次独立なベクトル

v1, v2, ... , vk (k<N)
のすべてに垂直なベクトル全体は V の部分空間 W を作り、 W の次元は N-k となります。

剛体の回転の話の場合は、 rω に垂直なベクトルの作る部分空間 W の次元は 3 - 2 = 1 なので、vr×ω は どちらも 1 次元のベクトル空間、つまり直線に属するので両者は平行、 ということになります。
(04/28 2011)

Q and A 目次へ戻る

Q.3.A.5 有向面積と有向体積は、 面積ベクトルと内積を取るのが単位ベクトルかそうでないかの違いなのか

A.3.A.5

確かに、結果的には以下のようになっています。

しかし、「有向面積と有向体積の違い」はそういうことではありません。 それは例えば、有向体積の方も内積を取るベクトル (母線ベクトル) を単位ベクトルにして、 それを有向面積と見た場合にそれが意味する図と、 それを有向体積と見た場合にそれが意味する図を書いてみればわかると思いますが、 両者は全く意味の異なる図で、 両者の値が等しいことも簡単にはわからないだろうと思います。

つまり、 「有向面積」はあくまで「他の面への正射影の面積」を表していて、 それがたまたま「面積ベクトル・単位ベクトル」という式になった、 ということであり、 「有向体積」もあくまで「斜柱の体積」を表していて、 それがたまたま「面積ベクトル・母線ベクトル」という式になった、 というだけのことです。 結果の式の方に名前がついているわけではありません。
(05/12 2011)

Q and A 目次へ戻る

Q.3.A.6 有向体積の説明で急に n が出てきた理由は

A.3.A.6

h = |A|cosθ = |A||n|cosθ = An
という式のことだと思いますが、最後の内積の形にするためです。 確かにこの説明だと、急に n が出てくるように見えますが、 もしかしたら逆から説明した方がわかりやすかったかもしれません。
(04/24 2012)

Q and A 目次へ戻る

3.B 第 2 章 ベクトルの微分・積分


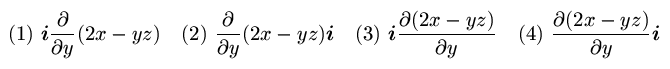
Q.3.B.1 ∂/∂y と Az は入れ替えてはいけないと言ったが ベクトル i もそうか

A.3.B.1

これは回転 ▽×A の計算のときにした注意で、そこに出て来る i と ∂/∂y と Az の 3 つの積の書き方に関する注意についてですが、 私が説明したのは、 ∂/∂y は Az の左についてそれを微分するという記号なので それを入れ替えて ∂/∂y が Az の右に来るように書いてはいけない、 というつもりでしたが、 質問者はその際の i の置き場所が気になったようです。

i の置き場所については、 例えば Az = 2x-yz だとして、次のような 4 通りがあると思います。

私は普段 (1),(3) のように書いていますが、 質問は (2),(4) のような書き方でも良いか、 というものでした。

結論から言うと、これは (2),(4) でも構いません。すべて同じです。

ただ、(2) のように書くと

が紛らわしく見えるため、私はそれを避けて、 そういう場合は i を前置するようにしています。 もちろん (4) のように書いてそれを避けることも可能です。

ところで、(2) と書いた場合の ∂/∂y の適用は、 多分見る人によって上の 2 通りの見方が出る 少し紛らわしい書き方だと思いますが、 i は定ベクトルなのでどちらと見られても実は結果は同じです。
(07/15 2004)

Q and A 目次へ戻る

Q.3.B.2 ベクトル関数の不定積分の場合、定ベクトル (積分定数) の C は 最後だけにつければよいのか、全ての式につけるのか

A.3.B.2

教科書 28 ページの例題 3 ですね。 これは部分積分の引っかかりやすいところです。

数式を使わずに簡単に説明しますと、 左辺と右辺に同じ不定積分が現われますが、教科書ではそれを「同じもの」 と見なして移項することで 2 倍としていますが、 本当はその両者は「同じもの」ではなく、「定ベクトル差」だけ違っているはず、 違っていても良いはずです。わかりますか ? よって、「右辺の不定積分」は「左辺の不定積分」+「定ベクトル」となり、 移項すると右辺に「定ベクトル」が残るわけです。 おわかりですか ?
(05/15 2002)

Q and A 目次へ戻る

3.C 第 3 章 スカラー場・ベクトル場


Q.3.C.1 ベクトル場内の曲線とは

A.3.C.1

教科書 p40 に確かに「ベクトル場 A 内に曲線 C があって」 と書かれています。 私は講義では「領域 D 内の曲線 C」と説明したので、 それで混乱しているのかも知れません。

私は「ベクトル場 = 3 変数ベクトル関数」と定義しました。 その立場ならば「領域 D 内の曲線 C」と言うのが正しいと思います。 しかし教科書 p39 には、

領域 D で定義されたベクトル関数 A に対し、 D と A を併せてベクトル場と呼ぶ
とあります。 つまり教科書では、「ベクトル場内の」といったような領域を意味する用語では 「ベクトル場」という言葉は D を表していると考え、 「ベクトル場の勾配」といったようなベクトル関数を意味する用語では 「ベクトル場」という言葉は A を表していると考える、 という立場なのだろうと思います。

よって、教科書の説明も私の説明も「領域 D 内の」ということを意味している、 という点では変わりません。 なお、「スカラー場、ベクトル場」という言葉は、 通常教科書の立場、すなわち領域も併せて使われることが多いようです。
(05/28 2003)

Q and A 目次へ戻る

Q.3.C.2 教科書 p50 (3.7) の式の右辺のかっこはいらないのか

A.3.C.2

これは、教科書の該当箇所では、dx, dy を含む線積分が

C(Axdx + Aydy + Azdz)
とカッコ付きで書かれているのに対し、私が板書では
C Axdx + Aydy + Azdz
のようにカッコを書かなかったことに対する質問ですが、 もちろん、どちらも本来は
C Axdx + ∫C Aydy + ∫C Azdz
と書くべき所を省略した記法です。

この本では確かに全てカッコを書くように統一しているようですが、 カッコを書かない書き方もわりと使われています。 そして、私も最初にこの書き方を見たときにかなり違和感を感じました (しかも特に説明も書いてなかったと記憶しています)。

ちなみに、手元にあるベクトル解析の教科書 7 冊 を調べたところ、 カッコを書かない記法も使っているものは 2 冊、 カッコを必ず書くように統一しているものが 4 冊、 残りの 1 冊は dx と dy を共に含むような線積分が出てきませんでした (!) しかし、カッコを書くようにしている 4 冊のうち 1 冊はこの教科書、 また他の 2 冊はこの教科書の著者が共著者として入っているものなので、 書くか書かないかは実質 2 対 2 であると言えます。 ということでやはりカッコを使わない書き方も良く使われているわけです。 こういった記法の違いは、国、分野によってもかなり違いがあるようです。
(06/04 2003)

Q and A 目次へ戻る

Q.3.C.3 線積分の積分範囲は何で決まるのか

A.3.C.3

もちろん、その積分変数であるパラメータの、 対象とする曲線を定義する範囲です。 通常は、曲線の定義部分にそのパラメータの変域が書かれていると思います。 もし、そのような範囲が明示されていないなら、 そのパラメータ関数の (暗黙の) 定義域の共通部分がその範囲になります。

例えば、x(t)=log(t-3) や y(t)=(9-2t)1/2のような式があれば、 それぞれ暗黙のうちに t>3, t≦9/2 と制限されていることになり、 その共通部分である 3<t≦9/2 で考える必要があることになります。 そのような制限がなければ、パラメータの範囲は実数全体と考え、 -∞から∞までの積分 (広義積分) を考えることになります。
(06/12 2003)

Q and A 目次へ戻る

Q.3.C.4 「F」と「F」は違うのか

A.3.C.4

前者は後者の・を省略しているわけではなく、全然違います。 前者は勾配 (グラジエント)、後者は発散 (ダイバージェンス) です。 それらの定義を見直してください。

なお、ナブラ () はベクトルなので、

でないとおかしいです。

このナブラ () は、むしろ計算方法も思い出せる便利な記号ですから、 良く意味を把握しておいてください。
(07/09 2003)

Q and A 目次へ戻る

Q.3.C.5 面積分は積分領域と dS が同じ記号だが、 体積分の方は違っていていいのか

A.3.C.5

この質問は、面積分の方は∫SφdS のように、 積分領域の S と面積素の dS が同じ記号だが、 体積分の方は ∫Vφdv のように、 積分領域の V と体積素の dv が大文字と小文字で違っている、 ということを聞いているのだと思いますが、 教科書を見れば分かりますがもちろん違っていても全然構いません。

元々、S と dS だって「同じ記号」という意味で書いているわけではなく、 面積素は、積分領域が S であろうが Σ であろうが B であろうが 常に dS と書きますし、 体積素も、積分領域が V であろうが P であろうが Q であろうが 常に dv と書きます。

よって、むしろ紛らわしいのは面積分の方なのですが、 かといって面積素を ds と小文字の s で書くと、 今度は弧長パラメータによる線素 ds と紛らわしいので 大文字で dS と書いているんだと思います。

なお、数学や物理などで面積には S、体積には V が使われることが多いのは、 英語で

面 = surface、体積 = volume
というからだと思いますが、 「体積」に対応するのは「面」ではなくむしろ「面積」でしょうし、 逆に 「面」に対応するのは「体積」ではなくむしろ「立体」だと思いますが、
面積 = area、立体 = solid, solid body
なので、元々 S や V を使うことにあまり強い根拠があるわけではなく、 他で使われていない記号で関係ありそうなものを使っているだけで、 単なる慣習だと思います。
(07/17 2003)

Q and A 目次へ戻る

Q.3.C.6 「線積分も定積分同様、底辺×高さの面積の計算である」とはどういうことか

A.3.C.6

講義では、線積分 ∫Cφdt はリーマン和の極限

Cφdt =limn→∞Σk=1n φ(P(τk))Δtk
(C は P(t)(x(t),y(t),z(t)) (a≦t≦b) で表わされ、 Δtk は a≦t≦b を n 個の小区間に分割した分割幅、 τk はその各小区間内の任意の点 (k=1,2,...,n))
で定義されると話しました (講義ではτの代わりに t の上に '^' を載せた記号を使いました)。

これは、もちろん曲線 C 上のスカラー場φの値に そのパラメータ t の間隔であるΔtk をかけた和であるので、 直接面積には見えないと思います (見えなくてもいいのです) が、 これは、通常の 1 変数関数の定積分の定義

abf(t)dt =limn→∞Σk=1n f(τk)Δtk
と比較すれば、t の一変数関数 f(t)=φ(P(t))=φ(x(t),y(t),z(t)) を 定積分している式と同じになっていることがわかると思います。

よって、横軸を t と考えれば、底辺 Δtk、 高さ φ(P(τk)) の長方形の面積を 足し合わせていると見ることもできる、という意味で言ったわけです。

よって、

Cφdt =∫abφ(P(t))dt
として計算できるわけですが、 もちろん、「面積」と見ることよりも、元々の定義である、
「曲線 C 上のスカラー場φの値にそのパラメータの微少変化をかけて足したもの」
と見ることの方が大事だと思います。
(06/18 2007)

Q and A 目次へ戻る

Q.3.C.7 力積を線積分で書いたリーマン和のΣの上は n でよいか

A.3.C.7

質問の意味がよくわかりませんが、 もし「r」か「n」かよくわからなかった、という意味ならば「n」でいいです。

Σk=1n F(P(tk-1))Δt

といった式だったので、n ではなく (n+1) か (n-1) が正しいのでは、 という意味ならば、「n」でいいです。 元々が n 等分であること、上の式は

F(P(t0))Δt + F(P(t1))Δt + ... + F(P(tn-1))Δt
に等しいこと、そして図を合わせて考えてみてください。
(06/07 2010)

Q and A 目次へ戻る

Q.3.C.8 線積分の例の「φ=x+y+z+3」の 3 とは何か

A.3.C.8

特に意味はありません。具体例としてそうしただけで、 別に「φ=2x3y + y2zcos x + 10」でもよかったんですが、 簡単のためにそうしただけです。

なお、「φ=x+y+z+3」の積分だと、 意外と 3 の計算をするのを忘れる人がいるみたいなので、 それなりに意味のある例になっているような気がします。
(06/07 2010)

Q and A 目次へ戻る

Q.3.C.9 教科書 p57 の問題 3 の解答の意味がわからない

A.3.C.9

確かにわかりやすい書き方ではありません。 講義の宿題の解説の始めにも説明したように、 ベクトル r

r = (1/2)(rr) = (1/2)(|r|2)
と書くことができるので、ポテンシャル (-r2/2) を持ちます。 よって、「p52-p53 の変形を行えば」 (3.7), (3.8) が得られるのと同様にして 0 となることが導かれる、 という主張なんだと思いますが、 その「」の部分が書かれていないのであまりいい答案だとは思いません。

むしろ、(3.8) を使うなら、それを明確に述べて、 「r は (上の計算により) ポテンシャル -r2/2 を持つ、 だから (3.8) より 0 となる」とするのがいいでしょうし、 または (3.8) を導く計算を利用するなら、 いっそ私が紹介したように最初から線積分をちゃんと計算するのが筋でしょう。
(06/24 2010)

Q and A 目次へ戻る

Q.3.C.10 弧長パラメータの説明で ∫|r'(p)|dp のように書いた p は何か

A.3.C.10

単なる積分変数です。通常なら t と書くところですが、 (2.4) では積分の上端が t になっているので、 それと (表にはでてこない) 積分変数を区別するために p を使いました。

なお、1 変数の定積分では、積分変数は何であっても積分の値は変わらず、 積分変数自体に意味はありませんが、 線積分は「積分変数自体に意味がある」(値も変わる) ことに注意してください。
(05/29 2012)

Q and A 目次へ戻る

3.D 第 4 章 積分公式


Q.3.D.1 §5.1, 5.3 の微分方程式を導くとき、 微分が積分の中に入るのがわからない

A.3.D.1

§5.1 では流体の基礎方程式、 §5.3 では電磁気学の基礎方程式を導いていますが、 いずれも同様の方法で、その方針は

  1. 任意の領域上の基本量の総量を、積分 (体積分、面積分) で表す
  2. その基本量の変化率 (時間に関する微分) を、 別な積分 (面積分、線積分) の式で表す
  3. 発散定理やストークスの公式を使って両辺の積分を、同じ領域、 同じ次元の積分に直す
  4. 2. の微分を積分の中に入れ、移項して一つの積分にまとめる
  5. 領域の任意性により被積分関数が 0 となる
のようになっています。 元々積分の関係式であるものを、発散定理などを使って一つの積分の中に 押し込んで、積分を外すことで微分方程式を導く、というやり方です。

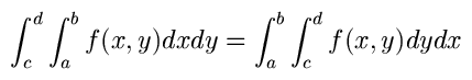
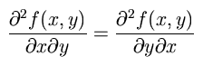
で、質問は 4. の「2. の微分を積分の中に入れ」という所だと思います。 ここには、教科書には丁寧には触れられてはいませんが、 「微分と積分の順序交換の定理」が使われています。 その定理は、例えば 2 変数関数で書けば次のようなものです。

見て分かるように、微分と積分の変数が別である場合、 その順番を入れ替えることができるという定理です。 基礎方程式を導く場合でも、そこに現われる面積分、体積分は、 空間に関する積分 (x,y,z に関する積分) であり、 微分の変数である時間変数 (t) とは別なので、 微分と積分の順序が交換できるこになります。

なお、2 変数以上の多変数関数では、別な変数に対する微分や積分 (定積分) は 色々入れ替えることができます。 次の 2 つを上のものとあわせて覚えておくと良いでしょう。

ただし、最後のものはこのように簡単に入れ替えられるのは、 各変数に対する積分範囲が定数である場合、 すなわち全体の重積分で見たときに積分領域が長方形 (3 次元以上ならば直方体) になっているときだけです。
(07/24 2003)

Q and A 目次へ戻る
応用数理 A のページへ戻る
作成日: 04/21 2016
竹野茂治@新潟工科大学 (shige@iee.niit.ac.jp)