応用数理 B (新潟大学工学部 2 年)

(化学システム工学科, 電気系 3 学科)

目次


講義中に配布した資料

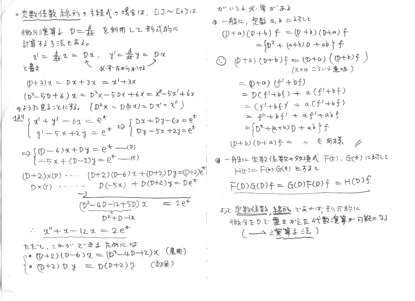
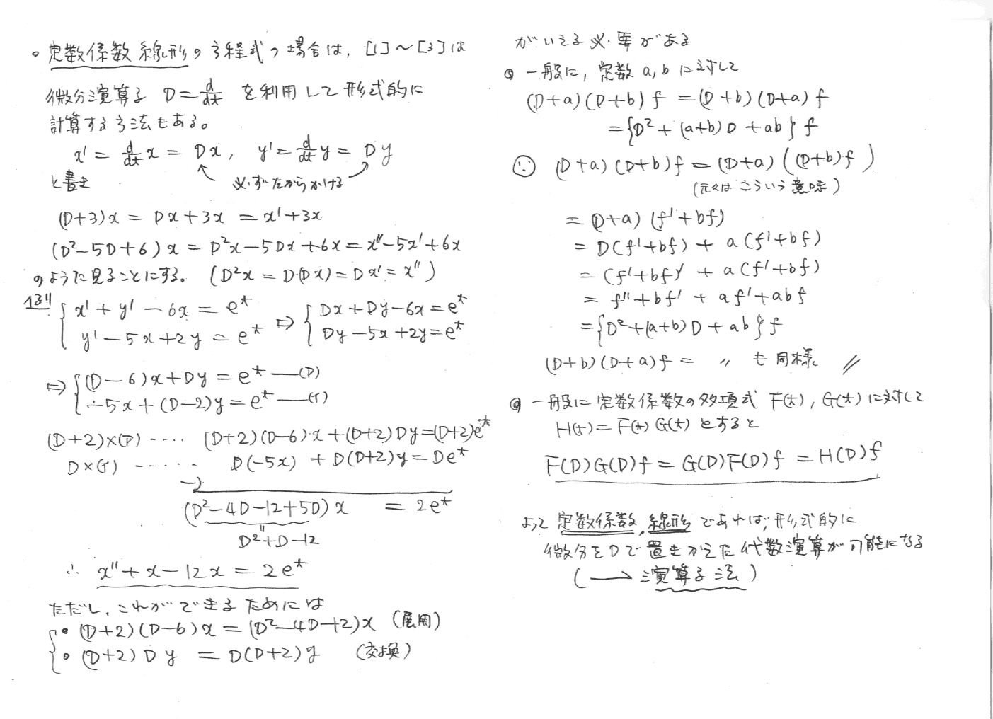
講義中に、説明が長くなるもの、煩雑な証明、あるいは補足などについては 例年プリントで配布していますが、 それを休んだ人の自習用に公開することにしました。 手書きなので多少見にくいですが、画像ファイルと PDF ファイルにして ここに置きます。

目次に戻る

講義に関する質問

講義等で受けた質問、およびその回答をここにあげておきます。
(01/29 2009 更新)

Q and A 目次

Q.1. この講義は例年どれくらいの割合の学生が合格しているのか
Q.2. この講義は交換留学生の単位になるか
Q.3. 底を省略してある対数 (log) の底は e なのか/それは ln と書いてもいいか [Update]
Q.4. sin3x の積分が分からない
Q.5. ∫{-f(x)}dx は -∫f(x)dx でもいいか
Q.6. 質問したいときは/オフィスアワーは
Q.7. ±eC1=C2 は、 左辺は 2 つの定数で、右辺は 1 つの定数を意味するのでは
Q.8. カオスって何ですか
Q.9. 「関数」と「函数」の違いは
Q.10. 「特性方程式」は、数列の漸化式の特性方程式と何か関係があるのか
Q.11. 定数変化法でうまく消える項があったがそれはわかっていてやったのか
Q.12. 特性方程式の解が a+bi のとき、なぜ一般解が C1eaxcos bx+C2eaxsin bx になるのか
Q.13. 最後の講義に試験対策問題はやらないのか
Q.14. 学期末にやったアンケートは講義に反映されるのか
Q.15. 復習の方法を教えて欲しい
Q.16. 積分の知識はどれくらい必要か
Q.17. テストにはグラフを書く問題は出るのか
Q.18. 追試はあるのか
Q.19. §1.2 の宿題は微分方程式の解を求める必要はないのか
Q.20. §1.2 の化学反応の方程式の比例定数 k を決めるには
Q.21. 別の講義の微分方程式の解答は教えてもらえないんですか
Q.22. 1 階線形の方程式は公式を使って解いたら減点されるのか
Q.23. y'=y/x は線形なのか、そうだとしたらなぜ y'=x/y はそうではないのか
Q.24. y'=y/(2x) は同次形とみてそれで解いてもいいのか
Q.25. ∫{1/(2x)}dx は、なぜ (1/2)log|2x|+C となるか
Q.26. 「∽」は「比例」ではなくて、「相似」を意味する記号なのでは
Q.27. 授業のノートを少し見せてもらえないか
Q.28. 参考書として上げてある本はどこを参考にしているのか
Q.29. 不要なところに S にダッシュ (') がついているようだが
Q.30. 講義を補うには参考文献だけでよいか
Q.31. テストはいつやるのか
Q.32. テストはどう勉強すればいいか
Q.33. 宿題の応用がテストに出るのか
Q.34. A=arctan x のところに、「(-π/2<A<π/2)」と書いてあったのは何か
Q.35. 試験の形式は
Q.36. y=C/x として y=u/x (u: 未知) としたが、 どうして u は未知なのか、定数でないのか
Q.37. 学期末にもアンケートはやるのか
Q.38. 小テスト、あるいは演習の時間などはないのか
Q.39. この科目は習う必要があるか、今後化学の分野で使うのか
Q.40. 「定・変」「変・分」「(IH)」「(H)」「(CH)」「(C)」などと書いていたのは何か [New]
Q.41. 非斉次項が定数の場合は [New]
Q.42. 昨年の試験問題に質問があるのですが [New]
Q.43. 1/(1-x)2 の積分を 1/(x-1)2 の積分としているのはなぜか [New]
Q.44. 1/(1+x2) の積分はそのまま arctan x と書いていいのか [New]


Q.1. この講義は例年どれくらいの割合の学生が合格しているのか

A.1.

大学の成績は原則絶対評価です。 その割合を知ったからといって何の目安にもならないと思います。 全員の成績が悪ければ全員不合格ですし、 全員の成績がよければ全員合格です。 つまり、質問に意味がないでしょうし、 また、こんなことに答える必要もないでしょう。
(10/09 2003)

Q and A 目次へ戻る

Q.2. この講義は交換留学生の単位になるか

A.2.

交換留学生の単位になるかならないかは、 私が決めるのではありませんから、事務の方に聞いてください。 受講するのは構いませんので好きなようにしてください。
(10/09 2003)

Q and A 目次へ戻る

Q.3. 底を省略してある対数 (log) の底は e なのか/それは ln と書いてもいいか

A.3.

対数は、底が 10 のもの (常用対数)、底が e のもの (自然対数) の場合、底が省略されて書かれることがあります。 それがどちらであるかは、確かに分野によって違うので紛らわしいのですが、 数学の講義では、底が省略されている対数が出てきたら、 それが自然対数である可能性が高いと思います。 それは、

といった理由によります。都合がいい、というのは
(log x)' = 1/x, (ex)' = ex
であることを指していて、この理由により微積分では 底が e である指数や対数が良く使われます。 この講義でも、底を省略した対数は自然対数 (底が e) だと思って下さい。 同様に、三角関数 (sin x, cos x, tan x) も 特に断らなければ角度の単位は度ではなくてラジアンを使います。

ただし、どの数学の本でも必ず底が省略された対数は自然対数か、 というと実はそうでもなくて、 例えば常用対数を log x と書いて自然対数を ln x と書いたり、 ex を exp(x) のように書いたりする流儀もあるので、 本や論文を読むときは多少注意が必要です。
(11/07 2003)

追加ですが、上に書いたように log x は ln x と書く流儀もあります。 もちろん ln x と書いても結構です。
(01/29 2009)

Q and A 目次へ戻る

Q.4. sin3x の積分が分からない

A.4.

これは、変数分離形の注意として出した不定積分の例の一つですが、 積分の求め方は、

  1. 3 倍角の公式を使う
  2. 部分積分 (sin3x=sin2x(-cos x)') を使う
  3. 置換積分 (u=cos x) を使う
などがあります。 ただし、最近は 3 倍角の公式は高校では 公式としては教えてはいないようですし、2 番目のは微分がやや面倒なので、 3 番目の置換積分による方法が一番楽でしょう。これは sin3x=(1-cos2x)sin x に気がつけば すぐに分かると思います。

この置換積分の方法で、同様に cos3x や sin5x などの奇数乗の不定積分は簡単に計算できますが、 sin4x や cos4x などの偶数乗はそうはいきません。 この場合は部分積分や 2 倍角の公式を繰り返し使うなどの 方法を使う必要があります。
(11/29 2003)

Q and A 目次へ戻る

Q.5. ∫{-f(x)}dx は -∫f(x)dx でもいいか

A.5.

これは、変数分離形の微分方程式の解法での場合の書き方の問題ですね。 変数分離した式にマイナス符号などがついている場合、例えば

-f(x)dx
となった場合にインテグラル (∫) をつける場合は、講義では
∫{-f(x)}dx あるいは ∫(-1)f(x)dx
のようにカッコをつけること、と言った話のことですが、 不定積分は定数倍を外に出せるので、もちろん
-∫f(x)dx
と書いても結構です。講義中でも指摘しましたが、要するに、
∫-f(x)dx
とは書かないで欲しい、ということが言いたいわけです。 こう書くと、 「∫」と「f(x)dx」の引き算のように見えて具合が悪い、ということです。

同様に、「3×(-4)」(3 かけるマイナス 4)や「3・(-4)」という式も 「3×-4」や「3・-4」とは書かないでください。 前者は「3x-4」(3 えっくすひく 4) に、 後者は「3-4」(・はゴミ) と見えてしまいます。 式は自分や他人に伝える共通の言語ですので 誤解のない書き方をしなければいけません。
(11/29 2003)

Q and A 目次へ戻る

Q.6. オフィスアワーは

A.6.

私は新潟大学へは非常勤で行っていますので、オフィスはありません。 よってオフィスアワーはありません。 何か質問があれば、講義の始まる前に非常勤講師室 (2 階会議室隣) に来るか、 または講義中、講義終了後にしてください。
(11/29 2003)

Q and A 目次へ戻る

Q.7. ±eC1=C2 は、 左辺は 2 つの定数で、右辺は 1 つの定数を意味するのでは

A.7.

これは、例えば話を少し簡単にすると、

|y|=Ax2 (A は任意定数, A≧0)
よって
y=±Ax2=Bx2 (B は任意定数, B=±A)
といった任意定数の置き換えのことを言っているのだと思います。

この場合、「y=±Ax2」という式は、 「y=Ax2 と y=-Ax2」という、 たった 2 つの解を表しているのではありません。 A は 0 以上であれば何でもいいわけですから、

y=-2x2, y=-30x2, y=x2, y=1.5x2, ...
という無数の解を表しているのです。 で、これは「y=Bx2 (B は任意定数)」と書くことができますね。 これでわかりますか。
(11/29 2003)

Q and A 目次へ戻る

Q.8. カオスって何ですか

A.8.

カオス (chaos: 英語ではケイオスと読む) は、日本語では通常「混沌」と 訳されています。 数学に現われるカオスは、「決定論的な系に見られる不規則かつ複雑な状態」 といった形で表現される現象のことを意味します。

「決定論的な系」とは、例えば微分方程式や差分方程式などの、 解が理屈の上では初期値によって一つに決まるような現象、を意味しますが、 その結果があたかもランダムに見えたり、 予想ができないような複雑な様相を示す、 といった場合にカオスであるとみなします (一応厳密な数学的な定義もあるようです)。

例えばコンピュータで乱数を作る場合、 通常はある簡単な規則を使って作っていますが、 これはある意味でオスのようなものです (実際にはこれはカオスとはいいがたいようですが、 逆に本当の意味でのカオスを乱数を生成するのに利用する、 という研究もあるようです)。

カオスの話でよく引き合いに出されるのは、「2 重振り子」と「バタフライ効果」 でしょう。 「2 重振り子」は、振り子のおもりの先にもう一つ振り子をつけたものですが、 振り子の大きい揺れまで観察するとその系は非線形となり、 非常に複雑な、予測のつきにくい振舞をして、カオスを引き起こします。

「バタフライ効果」とは、流体現象のカオス性に関するある例え話のことです。 流体現象を解明するために、その本質部分を取り出した簡単な方程式に ローレンツアトラクタというカオス現象が見つかったのですが、 それによって流体現象にはカオスがあると信じられていて (実際にはまだ厳密な証明はされていない)、そこから起こった例え話で、 「ニューヨークでチョウチョが羽ばたくと、 それが数ヶ月後に中国で台風を引き起こす」 という話のことです。

カオスを持つ方程式では、初期値のわずかな違いが、 結果に大きな違いを引き起こし得ます。 通常の実験などでは起こらないことですが、 非線形性が強い系ではわずかな誤差が大きな違いを産む可能性がある、 それによって結果に規則性がなくランダムな現象のように見える、 そういう奇妙なことが起こるわけですが、 これらの複雑さは、その系が非線形であることに由来します。

講義中にお話した、マメゾウムシとロジスティック方程式の離散化と カオスの関連については、 山口昌也「カオスとフラクタル」BlueBacks (B652; 1986) 第 2 章を 参照してください。
(12/10 2003)

Q and A 目次へ戻る

Q.9. 「関数」と「函数」の違いは

A.9.

昔は「関数」は「函数」と書きました。 元々中国で function を漢字に当てはめるときに音と意味を考えて 「函数」と当てはめられたものが日本に来たものです。 中学校では「函数」をブラックボックスで説明することもあり、 「函数」の方がぴったりしていますよね。 日本でもしばらくは「函数」が使われていたのですが、 当用漢字だったか教育漢字だったかに「函」の字が入っていなかったために 便宜的に「関数」が当てはめられてしまった、という全く不条理な熟語なのです。 よって私は今でも「関数」を「函数」と書いています。

なお、日本数学会には今でも「函数」を使った「函数方程式分科会」があります。
(11/30 2004)

余談ですが、「導関数」という言葉も、元々は英語の derived function を「導来函数」という言葉に中国で 音と意味をあてはめられたものだったそうです (derived には導き出す、という意味もあります)。 それが長いので、現在は「導函数」になっているようです。
(11/08 2005 修正)

Q and A 目次へ戻る

Q.10. 「特性方程式」は、数列の漸化式の特性方程式と何か関係があるのか

A.10.

数列の漸化式の特性方程式とは、例えば

an+2+3an+1-4an=0
という漸化式に対する、λ2+3λ-4=0 という 2 次方程式のこと、 を指しているのだろうと思いますが、 全く関係ないかというと実はそうでもないのですが、 名前の由来は多分直接関係はないだろうと思います。

「特性方程式」は、"characteristic equation" という言葉の訳語で、 "characteristic" とは「独特の」「特有の」という意味を持ちます。 つまり、「ある現象の性質の特徴を表す方程式」という意味の、 本来は割と一般的な用語なんだろうと思います。 他にも「固有方程式」のような呼び名もあります。 ですから多分直接は関係ないでしょう。

しかし、奇妙なことに、この数列の漸化式の特性方程式と、 定数係数斉次線形微分方程式の特性方程式とは色々共通点があり、 解の構造も良く似ています。 数列の漸化式の場合も特性方程式を解くことで、 数列の一般項を考察することができます。 高校までは、多分上の例のような、 階差が 2 以内の漸化式の場合の特性方程式の話しかやらなかったと思いますが、 何でしたら、より階差が大きい場合、 つまり特性方程式が 2 次より大きい代数方程式になる場合も 考察してみてはいかがでしょうか。
(12/23 2004)

Q and A 目次へ戻る

Q.11. 定数変化法でうまく消える項があったがそれはわかっていてやったのか

A.11.

ある意味ではその通りです。ある意味とは、

という意味です。 うまくいくかどうか分からずにやって、 無駄な時間をつぶすほど、講義時間に余裕はありません (そういうのが「完全な無駄」かというと本当はそうでもないのですが)。

では、うまく行くことが知らない場合は定数変化法は使わないかというと そうではありません。 むしろ、定数変化法はその方法からも分かると思いますが、

どうにも先に進まない問題にぶち当ったときに、 手近なところから攻めてみて、 これで問題を簡単にできないだろうか
という手法ですから、とりあえず手をつけてみるときに役立つ 非常に優れた手法です。 非線形の方程式では必ずしも効果を発揮するわけではありませんが、 線形の方程式ではなくてはならない手法の一つです。

なお、上に書いた、 「一つの解が見つかった場合の階数低下法としての定数変化法」 について知りたい場合は、微分方程式の本を色々探してみてください。 何でしたら自分で考えてみても良いかも知れません。 今回の重解の場合の手法がヒントです。
(12/23 2004)

Q and A 目次へ戻る

Q.12. 特性方程式の解が a+bi のとき、なぜ一般解が C1eaxcos bx+C2eaxsin bx になるのか

A.12.

講義では、2 階の定数係数線形微分方程式の特性方程式の解 λ=a+bi から

なので、この実数部分と虚数部分を使って
C1eaxcos bx+C2eaxsin bx
となる、と言ったので誤解したのかも知れませんが、 正確な話はその前の週にお話したはずです。

2 階の定数係数線形微分方程式の場合は、特性方程式は 2 次方程式で、 その一つの解が λ=a+bi ならばもう一つは λ=a-bi となります。 オイラーの公式より

ですから、一般解は
C1e(a+bi)x+C2e(a-bi)x
= C1eax(cos bx + i sin bx) + C2eax(cos bx - i sin bx)
= (C1 + C2)eaxcos bx + i(C1 - C2)eaxsin bx
となります。この (C1 + C2), i(C1 - C2) を あらためて C1, C2 と書いたようなものです。

厳密には、e(a+bi)x, e(a-bi)x が線形独立な解であるので、

となり、だから基本解系 {e(a+bi)x, e(a-bi)x} の代わりに {eaxcos bx, eaxsin bx} を基本解系と 取れることが示されます。

しかし、λ=a±bi から、この形の解を思い出すときは、 λ=a+bi を使って、

と展開するとその実数部分と虚数部分が丁度これになってますから、 こうやって思い出すのがいいだろう、 ということでそういうやり方を紹介したのです。
(01/18 2005)

Q and A 目次へ戻る

Q.13. 最後の講義に試験対策問題はやらないのか

A.13.

こういう質問が出るということは、そういうことをやる教員も多いのでしょうか。 少なくとも私はやりません。 講義は試験のためにやっているわけではありませんし、 そもそも試験対策は私がやるものではなく受講者がやるものでしょう。
(01/18 2005)

Q and A 目次へ戻る

Q.14. 学期末にやったアンケートは講義に反映されるのか

A.14.

これは、学期末に取った学科アンケートの自由に意見等を書く欄にあった質問です (もしかしたら質問ではなく反語なのかも知れませんが)。 確かに学年末に取ったアンケートは、 それを実際に改善するかしないかを学生が確認することは難しいと思います。 よって私は 7 週目位にアンケートを取って、 その学年の学生にフィードバックするようにしています。

その欄には、JABEE についても批判的な意見が書かれていましたが、 上に書いた「改善するかしないかを学生が確認することが難しい」という心配は、 その JABEE の認定を得る、ということで解消されるかも知れません。 私も JABEE に関して詳しく知っているわけではありませんが、 その認定を受けるために 教員側はアンケートを取るだけではなく、 それへの対応もチェックされると思います。 よってその点に関する学生側の疑問は多少解消するというメリットも あるかもしれません。

色んな意見をお持ちのようですから、むしろこの機会 (JABEE) を利用して、 学生も積極的に授業改善に参加したらいかがでしょうか。
(03/04 2005)

Q and A 目次へ戻る

Q.15. 復習の方法を教えて欲しい

A.15.

ノートを見て、内容を理解して、宿題をやってください。 宿題で足りないようなら、他の本の問題をやっても良いでしょう。 ただ、問題をやりすぎるのは必ずしも良いことではありません。 演習問題により型にはまった問題に対する機械的な計算法のみを身につけても、 理屈がちゃんと分かっていないと、 いざ型にはまらない問題に当ったときに理論を応用することができません。 特に日本人はそういうところが弱いとよく言われますが、 専門課程や社会の現場では、型にはまらない問題の方が多いのです。
(06/05 2005)

Q and A 目次へ戻る

Q.16. 積分の知識はどれくらい必要か

A.16.

基本的な積分ができる程度です。 とりあえずは前に書いた程度ですが、 講義ではその基本的な積分ばかりを紹介していますから、 その程度の積分はできる必要があるでしょう。
(06/05 2005)

Q and A 目次へ戻る

Q.17. テストにはグラフを書く問題は出るのか

A.17.

それを聞いてどうしようというのでしょうか。 グラフのための特別な勉強でもしようと考えているのでしょうか。 そもそも大学の講義はテストのための勉強ではありませんから、 そういう意識は捨てるべきだと思います。
(06/05 2005)

Q and A 目次へ戻る

Q.18. 追試はあるのか

A.18.

私は非常勤できていますのでそういうことはやりにくいですから 考えていませんし、過去にもしたことはありません。
(06/05 2005)

Q and A 目次へ戻る

Q.19. §1.2 の宿題は微分方程式の解を求める必要はないのか

A.19.

ありません。それに、簡単には求められないものも中にはあります。 解を求めたんだけど、合っているかどうか教えてもらえないか、 ということも言われましたが、 微分方程式の解法はまた後でやりますから、 そのときに考えてみてください。

なお、解が合っているかどうかをチェックするのは、 代入して方程式を満たしていること、 及び適切な任意定数を含むこと (初期値問題の場合は初期値を満たすこと) を調べるだけなので、方程式を解くよりもずっと簡単です。
(10/15 2005)

Q and A 目次へ戻る

Q.20. §1.2 の化学反応の方程式の比例定数 k を決めるには

A.20.

これは、

z'=kxy
のように書いた式の比例定数の k のことを言っているのだと思いますが、 もちろん、今回方程式を作るのに利用した質量作用の法則からだけでは 決定はできませんから、実際には実験によりそれを決めることになると思います。

多分「反応速度論」の本を見られる方が早いと思いますが、 個々の化学反応によってその反応の進行速度はかなり違いがあり、 それらの定数は既に多くの代表的な化学反応では 得られているのではないかと思います。
(10/15 2005)

Q and A 目次へ戻る

Q.21. 別の講義の微分方程式の解答は教えてもらえないんですか

A.21.

まず、「教えてもらえないんですか」というように、 教えてくれて当然であるような言い方をされたのですが、 私はそれに解答する義務は、もちろんないと思いますので注意しておきます。 それから、その問題ですが、その解法は講義でやりますので、 その講義の内容を聞いてください。 その内容に従ってやれば解けるはずです。 自分の力で解いてください。

教員は答を教えるためにいるのではありません。 学生が自分で答を導けるようになるために教育しているのですし、 その問題を出した人もそれを望んでいるはずです。 私がその問題を解いても、誰のためにもなりません。
(11/08 2005)

Q and A 目次へ戻る

Q.22. 1 階線形の方程式は公式を使って解いたら減点されるのか

A.22.

これは、私が講義中に、

1 階線形の方程式は、本によっては解の公式が書いてあることもあるが、 それを使わずに方法 (定数変化法) を使って解くこと
のように言ったので、このような質問が出たのだと思いますが、 それは「試験で使ってはいけない」というような 小さい意味で言ったのではありません。

いくつかの教科書に書かれている「1 階線形微分方程式の解の公式」なるものは、 それを使って簡単な微分方程式の計算を実際にやってみて、 それと定数変化法による解とを比較してみるとわかると思いますが、 いくつか問題があります。 そもそも解の公式なるものを使った場合は 最後までたどりつかないかもしれません。 そして、残念ながらそのような問題点を明確に指摘している本は あまりないように思います。

だから、その「公式らしきもの」を使用すると、 多分正しい解を導くことはできないと思われるので、 「方法 (定数変化法)」を使いましょう、と言ったのです。

もちろん、公式を使って正しい答えが計算できる自信があるなら、 公式を使っても結構です。 ただし、過去の例から言って、 その公式で正しい解にたどりつく可能性はかなり低いと思います。
(01/19 2006)

Q and A 目次へ戻る

Q.23. y'=y/x は線形なのか、そうだとしたらなぜ y'=x/y はそうではないのか

A.23.

質問者と話してみたところ、1 階線形の方程式とは、

y'=f(x)y+g(x)
であって、g(x) がないものも線形と呼んでいいのか、 というのが最初の疑問のようでした。

y'=y/x は、上の一般的な式の f(x)=1/x, g(x)=0 の場合に当たるので、 もちろん線形と呼んで何の問題もありませんが、 もしわかりにくければ、線形とはむしろ、

y'=(y の 1 次式)
と書けるもの、と考えた方がいいかもしれません (そのようにも板書したはずです)。

また後の方の疑問は、x/y はもちろん y の一次式ではありませんから 線形ではありません。 x/3 は x の一次式ですが、3/x は x の一次式ではありませんよね。
(01/19 2006)

Q and A 目次へ戻る

Q.24. y'=y/(2x) は同次形とみてそれで解いてもいいのか

A.24.

これは変数分離形の宿題として出した問題ですが、 もちろん同次形ですから同次形の解法で解いても結構です。

ただし、同次形の微分方程式の解法は、 y=xu と置いて u に対する微分方程式に直すと それが u に対する変数分離形の微分方程式になり、 それを u について解く、という手順を踏みますから、 どちらにしろ変数分離形の方程式を一回解く必要があります。 だとしたら最初から変数分離形の解法で解くのが楽でしょう。

なお、この方程式はさらに線形の微分方程式と見ることもできます。 このように、複数の形と見ることができる方程式は、 いずれか楽なものと見て、その解法を用いればいいのですが、 この方程式の場合には多分「変数分離形」と見て解くのが一番楽でしょう。
(11/08 2006)

Q and A 目次へ戻る

Q.25. ∫{1/(2x)}dx は、なぜ (1/2)log|2x|+C となるか

A.25.

普通は、1/(2x) = (1/2)×(1/x) と考えて

∫1/(2x) dx = (1/2)∫(1/x)dx = (1/2)log|x|+C
と考えるでしょうが、2x をひとかたまりと考えて
F'(x)=f(x) ならば ∫f(ax+b) dx = (1/a)F(ax+b)+C
を使うこともできます。これを使えばそうなることがわかると思います。

なお、このように積分時に (1/a) がつくのは、合成関数の微分により

{F(ax+b)}' = dF(ax+b)/dx = {dF(u)/du}×{du/dx} = F'(u)a = af(u) = af(ax+b)
(u=ax+b)
と、微分すれば逆に a が一つ出るからです。
(11/08 2006)

Q and A 目次へ戻る

Q.26. 「∽」は「比例」ではなくて、「相似」を意味する記号なのでは

A.26.

その通りです。うっかりしていました。 比例は「∝」のように書くのでしたね。すみませんでした。
(02/13 2007)

Q and A 目次へ戻る

Q.27. 授業のノートを少し見せてもらえないか

A.27.

授業のノートには、宿題の解答や、講義のためのメモなど、 板書している内容以外にも書いていることもありますし、 皆さんに見せるものではありません。

もし、講義中に書いていることがわからなかったのなら、 その場で指摘してください。 そうでなくて、考えながら聞いていたので書き取りそこなった、 というのなら、それはあなたの責任です。 私が責任を取らないといけないことではありません。

それに、誰か一人にだけ便宜を図る、ということはあまりしたくありません。
(10/12 2007)

Q and A 目次へ戻る

Q.28. 参考書として上げてある本はどこを参考にしているのか

A.28.

確かに今話している「微分方程式の導出」の辺りは、 全く同じ話は書いてないかもしれません。 しかし、参考書として上げているクライツィグの本は、 実用的な例も豊富に載っていますし、 全く参考にならないわけではなく、 むしろ他の本よりも参考になると思います。

クライツィグは他の本に比べて、 高階線形の方程式の解法が私の講義に近い方法で説明されていますので、 その辺りは特に参考になるでしょうが、 その他の方程式の解法も、講義とその本ではそれほど変わりはないと思います。

ただ、それは教科書ではなくて、あくまで参考書であり、 その本に沿ってやっているわけでも、 その本に書いてある方法で説明しているわけでもありません。 そもそも「参考書」とはその程度のものでしょう。
(10/12 2007)

Q and A 目次へ戻る

Q.29. 不要なところに S にダッシュ (') がついているようだが

A.29.

見にくくてすみませんが、それはダッシュではありません。 小文字の s と大文字の S を区別するために、 私は大文字の S には、S の書き始めのところに縦線 (ヒゲ) を 一つつけるようにしています。

小文字の s は「s」ではなく、筆記体の s を書いているので、 そんなヒゲをつけなくても小文字と大文字は区別できるはずなのですが、 大文字の S だけしか書いてない場合は、 それが大文字か小文字かは、 ヒゲがなければ大きいか小さいかの区別しかないのでよくわかりません。 その場合でも、それが大文字であることを知らしめるために、 あえてヒゲをつけているわけです。

手書きの際に、紛らわしい文字は書体を変えてでも 見て区別できるように書くのは非常に大事なことだと思いますので、 皆さんも答案を書くときなどは意識してみるといいでしょう。
(10/12 2007)

Q and A 目次へ戻る

Q.30. 講義を補うには参考文献だけでよいか

A.30.

「補う」とは、どのレベルのことを言っているのかがわかりません。

参考文献は、それなりに一通りの常微分方程式の内容が書いてありますから、 確かに私が講義では話していない内容も書いてあるでしょう。 そういう意味では「補う」ことになるとは思います。

しかし、参考文献にも書いていないことも講義では話していますので、 その意味では「補わない」ことにもなります。
(11/27 2007)

Q and A 目次へ戻る

Q.31. テストはいつやるのか

A.31.

学期末にやる予定です。
(11/27 2007)

Q and A 目次へ戻る

Q.32. テストはどう勉強すればいいか

A.32.

講義の内容を理解しているかを計るのがテストですから、 講義の内容を理解するように勉強すればいいんじゃないでしょうか。 そもそも、試験対策は私がやるものではなく 受講者がやるもんじゃないんでしょうか。
(11/27 2007)

Q and A 目次へ戻る

Q.33. 宿題の応用がテストに出るのか

A.33.

テストの内容については説明できません。

なお、大学の講義はテストのためにあるのではありません。 テストのためにしか勉強しない、という姿勢は捨てるべきでしょう。
(11/27 2007)

Q and A 目次へ戻る

Q.34. A=arctan X のところに、「(-π/2<A<π/2)」と書いてあったのは何か

A.34.

x=arctan y は、y=tan x の逆関数ですが、 元々逆関数は、x から y への対応が 1 対 1 であるときに、 x から y への対応 (普通の関数) だけでなく、 y から x への対応も考えることができ、 それを関数と見たもののことです。

ところが、実は y=tan x は 1 対 1 ではありません。 グラフは、-∞ から +∞ に伸びるもの (枝とも言います) が 無数に並んでできていますから、 x から y へは 1 つに値が決まりますが、 一つの y に対しては、無数の x の値 (nπ だけずれたもの) が対応します。

これだと逆関数が作れないので、 y=tan x の逆関数である x=arctan y を考えるときは、 x の範囲を -π/2<x<π/2 と制限して考えることになっています。 こうすれば (この原点を通る枝を取れば)、 x と y とは 1 対 1 に対応します。 そのように定義域を制限した y=tan x の逆関数が、 x=arctan y の定義になっています。
(11/28 2007)

Q and A 目次へ戻る

Q.35. 試験の形式は

A.35.

試験については、試験が近くなったら説明します。
(11/24 2008)

Q and A 目次へ戻る

Q.36. y=C/x として y=u/x (u: 未知) としたが、 どうして u は未知なのか、定数でないのか

A.36.

これは、定数変化法の話なんですが、 それを紹介した日に取ったアンケートに書いてあった質問なので、 多分講義中の話を良く理解できていないんだろうと思います。 自分でノートを見てよく考えてください。 同じ y を使って書いていますが両者は別物で、 y=C/x は g(x) がない方程式の解、 y=u/x は g(x) がある方の方程式の解です。
(11/24 2008)

Q and A 目次へ戻る

Q.37. 学期末にもアンケートはやるのか

A.37.

学期末のアンケートは、 やるかどうかを私が決められる性格のものではありませんので、 大学がやると言えばやりますし、やらないと言えばやりません。
(11/24 2008)

Q and A 目次へ戻る

Q.38. 小テスト、あるいは演習の時間などはないのか

A.38.

基本的にはありません。
(11/24 2008)

Q and A 目次へ戻る

Q.39. この科目は習う必要があるか、今後化学の分野で使うのか

A.39.

まず、「習う必要があるか」について言えば、 私はあなたが今後どういう研究をするのかわかりませんし、 将来何ものになるのかも予測がつきませんから、 「必要」かどうかを判断することはできません。 しかし、この講義を工学部、あるいはあなたの所属する学科が カリキュラムに入れているということは、 その工学部や学科の中で必要になる、 あるいは将来必要になると思われる分野の技術者を教育することを 想定しているんじゃないでしょうか。

また、「今後化学の分野で使うのか」について言えば、 私は化学の専門家ではないですし、 化学系の学科のカリキュラムも知りませんのでわかりません。

一応、いくつかの具体例は示したつもりですが、 それでも自分とは関連はないと思ったら 履習しなければいいんじゃないでしょうか。

なお、こういう質問は私には、 受講したくないのでそのための理由を探しているように見えます。 上にも書きましたが、今後卒業後にどんな仕事につくかはわかりません。 化学系の会社に入ったとしても、化学のことだけをやるとは限りません。 また、新しいものを作るときにも 従来の知識が使えなくなる、あるいは乗り越えることが必要な場面があるでしょう。 そのような場合に応用が効くのはむしろ基本的な学問だと思いますし、 数学はその基本的な学問の最たるものです。 工学者にはそれなりに必要なんじゃないかと思っています。
(11/24 2008)

Q and A 目次へ戻る

Q.40. 「定・変」「変・分」「(IH)」「(H)」「(CH)」「(C)」などと書いていたのは何か

A.40.

いずれも略記で、説明もしたと思いますが、それぞれ以下の通りです。


(01/29 2009)

Q and A 目次へ戻る

Q.41. 非斉次項が定数の場合は

A.41.

これは定数係数線形の微分方程式の、 非斉次方程式の特殊解を求める解法の話ですが、 非斉次項が多項式 (整式) の場合については代入法の説明をしました。 定数は、その多項式が 0 次式だと思えばいいわけです。
(01/29 2009)

Q and A 目次へ戻る

Q.42. 昨年の試験問題に質問があるのですが

A.42.

そのような試験対策につき合うつもりはありません。 自分で考えてください。
(01/29 2009)

Q and A 目次へ戻る

Q.43. 1/(1-x)2 の積分を 1/(x-1)2 の積分としているのはなぜか

A.43.

もちろん (1-x)2=(x-1)2 であるから そういう風に置き換えても構わないはずです。

そのように置き換えたのは、そのままやると間違える可能性が高いからです。 後者は

∫1/(x-1)2dx = ∫(x-1)-2dx = (1/(-1))(x-1)-1+C = -1/(x-1)+C
ですが、前者の場合は、
∫f(ax+b)dx = F(ax+b)/a + C  (F'(t)=f(t))
より、
∫1/(1-x)2dx = ∫(1-x)-2dx = (1/(-1))(1-x)-1/(-1)+C = 1/(1-x)+C
となるのですが、この 3 つ目の式の最後の (-1) での割り算を忘れがちです。 そのために、 a=1 となるように 1/(1-x)2=1/(x-1)2 としたわけです。
(01/29 2009)

Q and A 目次へ戻る

Q.44. 1/(1+x2) の積分はそのまま arctan x と書いていいのか

A.44.

構いません。

もちろん、1/(1+x2) の積分は x=tan t のような置換積分で求めることもできますが、 結局最後には arctan x となるわけですが (実際には t だけが残るので、t=arctan x と直してそうなる)、 それは arctan x を知っているということになります。 通常 arctan x を習ったらその導関数も習うはずで、 (arctan x)' = 1/(1+x2) ですから、 そこから

∫1/(1+x2)dx = arctan x + C
は直ちに得られます。 つまり arctan x を知っている以上、この積分の公式も知っているでしょうから、 置換積分せずに公式として使って構いません。
(01/29 2009)

Q and A 目次へ戻る
目次に戻る

数学者/科学者へのリンク

講義中に紹介した、数学者や科学者の紹介の WWW ページへのリンクを貼っておきます。 主に、以下の数学史のページ:

を利用しています。 ここのページは、各数学者の人生、業績が詳しく紹介されていて、 顔の絵などもありますのでおもしろいと思います (英語ですが...)
(10/17 2006)

目次に戻る
作成日: 01/29 2009
竹野茂治@新潟工科大学 (shige@iee.niit.ac.jp)