その他雑多なこと (質問など)


目次


講義のページへ戻る
数学のページへ戻る

はじめに

ここにあった、以下のいくつかの微積分に関連する話題は、 基礎数理 I の講義に関するページ へ移動しました。


(04/30 2024)

ここにあった、以下のいくつかの線形代数に関連する話題は、 線形代数の講義に関するページ へ移動しました。


(04/26 2024)

目次に戻る

証明、解説、回答、余談



目次へ戻る

ある定積分について

不定積分が簡単に求まらない関数でも、 その特別な区間での定積分の値は、別な理論の力を借りて求まることがあります (微分方程式、二重積分、複素関数論の留数定理など)。 それらは代表的なものは数学事典の付録などに書かれていますが、 丁度欲しいものは載っていない場合があります。 そのような場合の例として、 一つ質問された定積分の値を求める計算を紹介します。


(11/27 2003)

HTML 版に PDF ファイルへのリンクを追加しました。
(01/13 2009)

目次に戻る

斜円錐の側面積について

通常の円錐、 すなわちある平面上にある円の中心の真上に頂点があるような円錐を 「直円錐」と言うとして、 その頂点が円の中心の真上以外に頂点があるような傾いた円錐を仮に 「斜円錐」ということにします。

実は知人から、この斜円錐の側面の面積はどう求めたら良いか、 通常の直円錐の側面積の公式 (\(\pi r\sqrt{r^2+h^2}\)) を使って良いのか、と聞かれました。

一見して難しそうな問題ですが、 実際にそれが難しかったことや、また面白い結果も分かりましたので、 数値計算結果なども加えてそれをまとめてみました。


(02/27 2005)

HTML 版に PDF ファイルへのリンクを追加しました。
(01/13 2009)

PDF ファイルが多少変だったので作成し直しました (内容は変更ありません)。
(07/19 2023)

目次に戻る

CD の溝の長さについて

極座標での曲線の長さの公式を見ていて、 ふと CD (compact disk) の溝の長さはどれくらいだろうと思いついて 少し考えてみたら、 2 つの考え方で異なる式が出るのに、数値で見るとほとんど違わない、 という結果が出ました。

その小ささが少し意外だったことと、 途中に基礎数理などで使われる手法も色々出てくることもあって それを少しまとめてみました。


(09/23 2005)

HTML 版に PDF ファイルへのリンクを追加しました。
(01/13 2009)

目次に戻る

紙の束の配分による整列化について

よく答案用紙を整列化 (ソート) するときに、 効率のいい整列化の方法をコンピュータに考えさせて、 それに従って整列化したら速く済むんではないかな、 と漠然と考えていたのですが、 今回、研究室の学生の卒研に合わせて少しまともに考えてみました。

基本的にアルゴリズムの問題で、直接講義とは関係ないのですが、 少し面倒な数学を使う部分もありますし (微分を使う部分もある)、個人的にはおもしろい結果が出ましたので、 ここにまとめておきます。


(02/24 2006)

HTML 版に PDF ファイルへのリンクを追加しました。
(01/13 2009)

目次に戻る

ベキ級数入門

うちの大学では 基礎数理 I でテイラー展開をやりますが、 そのテイラー展開に関して、いくつか質問されたことや気がついたことなどを その講義の WWW ページ ( http://takeno.iee.niit.ac.jp/~shige/math/lecture/basic1/basic1.html) にいくつか書きました。

しかし、そこで使用した級数に関する性質等は、 工学部用の薄い解析の教科書にはあまり書かれていないことが多く、 よって、他の性質と合わせてそれらを紹介することを目標に 少しまとめてみましたので、それをここにおきます。


(09/26 2006)

HTML 版に PDF ファイルへのリンクを追加しました。
(01/13 2009)

目次に戻る

勝つまでやるのは得か

ゲームなどで熱中すると、 つい意地になって次に勝つまでやろうと決めてしまったり またはやめにくいときに、次に負けたらやめよう、 などと考えたりしますが、 しかし、果たしてこれらは得なんでしょうか。

元は期待値や無限級数の演習問題として考えてみたものですが、 結果自体はそれほどおもしろくはないのですが、 それを詳しく調べるところで 微積分の通常の演習問題よりは微分を多用する場面がでてきましたので、 そのようなサンプルとしても意義があるのではないかと思いましたので ここにまとめておきます。


(04/28 2007)

HTML 版に PDF ファイルへのリンクを追加しました。
(01/13 2009)

目次に戻る

プログラム中のある乱数の評価

例えば C 言語というプログラム言語には 0 からある範囲までの整数の乱数 (疑似乱数) を返す関数が用意されているのですが、 それをその範囲の上限で割り算すれば、 一見 0 から 1 までの実数の乱数が得られることになります。 ただ、それにはその上限に 1 を足した数で割るなどの流儀もあり、 その辺りを多少数学的に評価して考察してみました。

元々、研究室の卒研の学生向けに C の実習書を書いていて、 少し気になったので計算してみたのですが、 学生の参考用も兼ねてここにまとめておきます。


(05/31 2007)

HTML 版に PDF ファイルへのリンクを追加しました。
(01/13 2009)

目次に戻る

プログラム中のある乱数の評価 その 2

上の 「プログラム中のある乱数の評価」 では、C 言語にある 0 からある範囲までの整数の乱数 (疑似乱数) を返す関数を使って、確率 r で 1 を返す関数を作り、 その評価を行いました。

今度は、同じ疑似乱数を使って、 1 から L までの整数を返す乱数を発生させる場合について 簡単な評価を行ってみました。 学生の参考用も兼ねてここにまとめておきます。


(06/22 2007)

HTML 版に PDF ファイルへのリンクを追加しました。
(01/13 2009)

目次に戻る

配列内のランダムな配置の選択の評価

学生に、

「N 個の要素のある配列のうち、 乱数を使ってそのうちの m 個 (1≦m≦N) をランダムに 1 に、 残りを 0 にする」
というプログラムを書いてもらったところ、
  1. 最初に全部を 0 にする
  2. N 個の一つをランダムに選び、 そこが 0 ならば 1 とするがそこが既に 1 ならば何もせず、 合計 m 個が 1 になるまでこれを繰り返す
という風に考えることが多いようでした。

しかし、この方法だと既に 1 であるところにぶつかると また乱数を取ってやり直すことになりますので、 何回で終わるという保証はありませんし、 極端な話、乱数があまりよくない乱数である場合には、 かなりの回数がかかってしまう可能性もあります。

では、この方法では終わるまでに平均的に何回かかるのかを計算してみました。 普通に計算するとなかなか難しい計算になってしまうのですが、 それも含めてここにまとめておきます。


(05/24 2008)

HTML 版に PDF ファイルへのリンクを追加しました。
(01/13 2009)

目次に戻る

グリッサンド音の作成について

グリッサンド音とは、ある音程から別な音程に 音を連続的に変化させることを言います。 そのような音を作成するツールを、 yomi というソフトに sndglis として付属させています (cf. サンプル音声)。

しかし、そのような音声の作成は実はそれなりに数学的な考察が必要で、 三角関数、指数関数、指数関数の積分などがでてきますので、 それなりに微積分の応用例にもなっているのではないかと思いますので、 ここにまとめておきます。


(08/07 2007)

HTML 版に PDF ファイルへのリンクを追加しました。
(01/13 2009)

目次に戻る

遺伝の比率の数列について

ある本を読んでいたら、性染色体によって引き起こされる ある遺伝的な性質があり、 その説明があった上で「よって女性にはほとんど起こらない」 と書いてありました。

それが何となく気になったので、 この比率などを数列を使って計算してみました。 それをここにまとめておきます。


(09/04 2007)

HTML 版に PDF ファイルへのリンクを追加しました。
(01/13 2009)

目次に戻る

「クレタ人」のパラドックスに関する雑感

パラドックスとして有名なものに、

「『クレタ人は嘘つきだ』とクレタ人が言った」
というものがありますが、 かなり本筋とは関係ないところでですが、ふと思ったことがありますので、 それをここにまとめておきます。


(10/29 2007)

HTML 版に PDF ファイルへのリンクを追加しました。
(01/13 2009)

目次に戻る

曜日の計算について

私のある先生は、その年の何月何日と言えば、 少し考えて曜日すら言い出す位でした。 それは、その先生が暗算が優れていたというわけではなく、 その先生の言っていたことを考えてみると、 多少のルールと多少の計算で導いていたように思います。

その先生が実際にどう考えていたのかは正確には知りませんが、 少しそれについて考察してみましたので、ここにまとめておきます。


(12/20 2007)

HTML 版に PDF ファイルへのリンクを追加しました。
(01/13 2009)

目次に戻る

春分について

2008 年の今年は 3 月 20 日が春分でしたが、 春分の日は固定しているのではなく、 現在は国立天文台の観測によって毎年の春分の日が決められているそうです。

春分の定義としてよく耳にするのは 「昼の長さと夜の長さが同じになる日」というものですが、 はて、それはどの国でも同じ日になるのかな、 緯度によって違いがあったりしないのかな、 とふと思ったので少し考えてみました。

ついでに、 地球から見た場合の太陽の軌道が傾いていることや、 季節によるその軌道の変化などについて、 ベクトル解析風に考えてみました (したがって、通常の説明よりもずっとややこしい) ので、 それらをここにまとめておきます。


(03/24 2008)

HTML 版に PDF ファイルへのリンクを追加しました。
(01/13 2009)

目次に戻る

数当てに対する考察

2 進法を利用した数当てゲーム (パズル ? 手品 ?) というものがあのは ご存じでしょうか。 ある範囲の整数から好きな数を一つ選んでもらって、 その範囲の複数の数字が書かれたカードを何枚か見せて、 覚えた数字が入っているカードを選んでもらって、 それにより覚えてもらった数字を直ちに言い当てる、というものです。

そのゲームに関して少し考察してみたので、ここにまとめておきます。


(04/10 2008)

HTML 版に PDF ファイルへのリンクを追加しました。
(01/13 2009)

そして、この文書の 4 節で上げてある 4x4 マスで、 枠を利用したものの型紙みたいなものを作ってみました。 ただ、サイズは適当に拡大して印刷 (あるいは印刷したものを拡大) してください。 黒い■部分はカッター等で穴を空けます。 詳しくは、上の文書をご覧ください。


(04/11 2008)

追加ですが、先日この数当てを小学生 (+PTA) 相手に紹介しました。 その際、上の穴開き形の数当ても最後に紹介したのですが、 小学生にその場でそれを作ってもらうのは時間的に難しかったので、 最後に作り方の資料を配付して終わりとしました。 その配付資料を以下に置きます。 そのため、一部その際の説明を聞かないとわからない部分も含まれています。

なお、小学生向けなので、漢字には一通りルビをふってありますが、 HTML 版では後ろにかっこをつけてルビを表現してありますので、 やや見にくいです (XHTML ではルビタグもあるようですが...)。


(11/08 2010)
目次に戻る

ラプラシアンの極座標表示の計算について

偏微分に関する合成関数の微分法の典型的な応用問題の一つに 「ラプラス微分作用素 △f を極座標で表現せよ」 というものがあります。

これは、それなりに計算が大変なのですが、 少し簡単な計算法に気がついたので、ここにまとめておきます。

なお「偏微分の合成関数の微分法」は基礎数理 IV あたりの内容ですが、 ここでは線形代数やベクトル解析も使用しますので、 その他のページに上げておきます。


(02/02 2009)
目次に戻る

ベクトル三重積の公式の証明について

ベクトル解析の教科書には、次のようなベクトル三重積の公式があります。

\(\vec{A}\times(\vec{B}\times\vec{C}) =(\vec{A}\cdot\vec{C})\vec{B}-(\vec{A}\cdot\vec{B})\vec{C}\)
これは、それなりに幾何学的な意味も持った公式ですが、 この公式の証明は、 たいていの教科書ではほとんどが成分計算による確認で行っています。

しかし以前から、

「成分計算による証明は確実であるが『確認』にしかなっておらず、 なぜこのような公式が成り立つのかという説明にはなっていない」
と感じていました。

そこで、いくつかの証明を検討したものをここにまとめておきます。


(05/21 2009)
目次に戻る

糸の方程式の境界条件について

の 13 章に、つり下げられた糸の自由振動として、
\(u_{tt} = (xu_x)_x\)   (\(t\gt 0,0\lt x\lt L\))
という偏微分方程式の問題が取り上げられています。

この方程式は 2 階の双曲型の線形偏微分方程式ですから、 普通に考えると x=0 と x=L の両方の境界に境界条件が必要となるような 気がするのですが、 一方の境界 x=0 はこの方程式の特性方向になっていて、 しかも x=0 では双曲性が退化しているため、 通常の双曲型の方程式とは状況がだいぶ異なり、 実際には x=L での境界条件のみで一意的な解を得ることができます。

では、この方程式を少し一般化したもの

\(u_{tt}=xu_{xx}+\mu u_x\)   (\(t\gt 0, 0\lt x\lt L\))
では、どのような場合に x=0 での境界条件が必要で、 どのような場合にそれが必要ないのかを、 上と同様の方法、および数値計算を交えて考察してみましたので、 ここにまとめておきます。

なお、本稿については、慶応大学の高山正宏先生に色々と教えて頂きました。 深くお礼申し上げます。

追記 (06/25 2009):

さらに慶応大学の高山正宏先生から本稿に目を通して頂いて、

というご指摘を頂きました。 確かにこれはその通りで、\(\mu\lt 1\) での構造が、 \(\mu=1/2\) の状態と同じであるため、 \(\mu=1/2\) の場合の解の一意存在に必要な (6) が、 \(\mu\lt 1\) の場合でも必要だろう、という程度のことで、 実際に (6) によって解が存在すること、およびその解が一意であることを、 形式的にでも示せたわけではありません。 よって、これはあくまで類推による「予想」にすぎません。

現在、エネルギーを用いた解の一意性についての考察をまとめたいと考えていますので、 またそのうちに続編としてここに上げたいと思います。


(06/22 2009)
目次に戻る

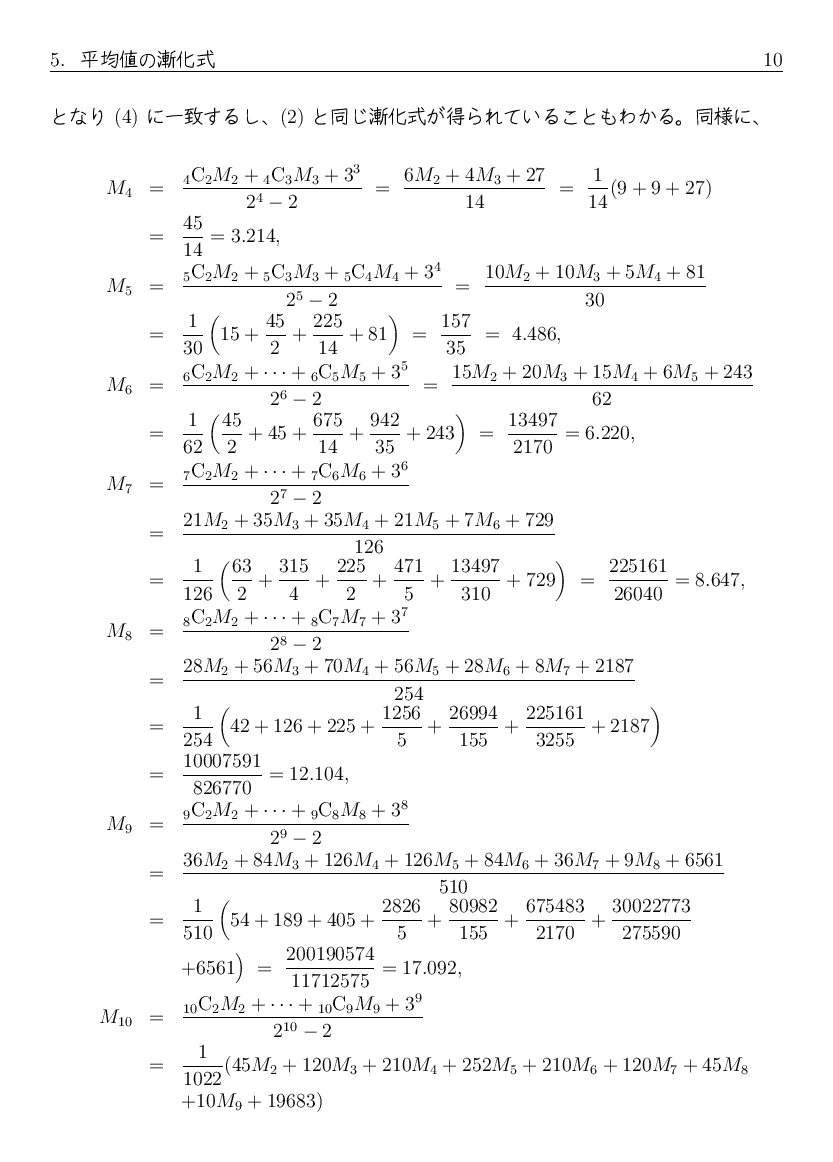
ゲーム差の平均について

プロ野球の順位表には、たいてい勝率とゲーム差というものが表示されています。 シーズン中盤になるとゲーム差にはだいぶばらつきがでてきて、 かなり大きく離されてしまっているものを見ると なんとなくかなりの実力差があるように見えてしまいます。

しかし、それは本当にそういうことを意味しているのか、 単純なモデルに対して「ゲーム差」の平均について考えてみましたので、 ここにまとめておきます。


(07/27 2009)
目次に戻る

数列の定数係数線形漸化式について

漸化式で決まる数列として代表的なものにフィボナッチ数列があります。

\(a_{n+2}=a_{n+1}+a_{n}\),   \(a_0=0\),   \(a_1=1\)
これは、3 項の定数係数線形同次漸化式と分類されるものですが、 この一般項には 5 の平方根が現れることがよく知られています。

この数列から得られる項はすべて整数なのに、 一般項に 5 の平方根のような無理数が現れることに 不思議さを感じる人もいるようです。

そこで、一般の定数係数線形同次漸化式、 および連立の線形同次漸化式、非同次の漸化式の解 (一般項) の構造や その求め方について考察を行い、 フィボナッチ数列の一般項の構造に関しても考察してみましたので、 それをここにまとめて置きます。


(08/05 2009)
目次に戻る

漸近展開の計算について

最近、ある工学系の論文で、誤差関数や変形ベッセル関数が現れていて、 その漸近展開を利用した近似計算が行われているのを目にする機会がありました。

そのような漸近展開式は、辞典や公式集を参照すれば 探し出すことはできるでしょうが、実際にそれらをどのようにして導くのか、 という説明はあまり普通の解析の本には載っていないように思います。

そのような漸近展開の例として、これらの関数に対する計算をしてみましたので、 ここにまとめておきます。


(08/27 2009)
目次に戻る

斜円錐の側面の展開図について

以前、斜円錐の側面積に関して考察しました (「斜円錐の側面積について」 参照) が、 ふと、その展開図はどうなるのかという話を目にしました。

実はこれもかなり厄介な話であり、 少し計算してみたので、ここにまとめておきます。


(08/27 2009)

PDF ファイルが多少変だったので作成し直しました (内容は変更ありません)。
(07/19 2023)

目次に戻る

シュワルツの不等式の初等的な証明

先日ある方から、

「相関係数 r が 1 に等しい場合に、データ点が直線になるのはなぜか」
と聞かれました。 実際にはそれはいわゆる「シュワルツの不等式」と同等な話になります。 しかし、それを「イメージとしてわかるように説明して」と言われたのですが、 それはかなり難しいです。

一応その方の話をヒントにして、 シュワルツの不等式のやや初等的だろうと思われる証明を考えてみましたので、 ここにまとめておきます。 ただし、「イメージとしてわかるよう」な説明にはなっていません。


(01/19 2010)
目次に戻る

重心について

平面図形の重心は、基本的には二重積分の計算で求められますが、 具体的な問題ではその計算は大変で、 通常は容易に重心の求まる簡単な図形 (対称な図形、円、三角形等) に分割して統合する、という方法を取るのだと思います。

また、三角形の重心は、面としての重心と頂点としての重心が一致することが、 二重積分の計算によっても確かめられますが、 それが成り立つことの簡単な説明はないか、 より一般の図形でも同様のことは成り立つのか、なども考えてみました。

これら、重心について少し考えてみたことを、ここにまとめておきます。


(04/23 2010)

なお上記の中で、四面体 ABCD の重心 G を、 命題 2 という積分を用いた命題を用いて説明していますが、 これはむしろ命題 2 の例としてあげているもので、 四面体 ABCD の重心は積分は使わなくても説明ができます。 上記 4 節の三角形の重心を求めた場合と同じように、 A を頂点、△BCD を底面と考え、 四面体 ABCD を △BCD に相似な薄い三角形を積み上げてできたもの、 と考えます。それぞれの三角形の重心はすべて、 A から△BCD の重心までの線分 m 上にのりますから、 よって G も m 上にあります。

同じことを四面体の他の頂点についても考えれば、 G はどの頂点に対しても、その頂点と向かい合う面 (三角形) の重心を通る線分上にあることがわかります。 そして、それらの線分が、位置ベクトルが \((\vec{a}+\vec{b}+\vec{c}+\vec{d})/4\) である 1 点で交わることは、ベクトルを使えば容易にわかりますので、 それが G の位置ベクトルとなります。
(01/23 2017)

目次に戻る

手で数えられる数について

通常、手でものを数えるというと、片手の指を一つずつ折っていって、 0,1,2,3,4,5 までと数えるのが普通でしょう。 さらに、ここから戻って指を 1 本ずつ開いて、6,7,8,9,10 と数えることもあります (なお、以下の写真では親指が外に出ていますが、 通常は親指は人差し指の下に折り込まれます)。

指を全部開いた写真 親指を折った写真 親指、人差指を折った写真 親指、人差指、中指を折った写真 親指、人差指、中指、薬指を折った写真 指を全部折った写真

ただ、その方法では指の最終段階の形を見ても、 例えば 3 と 7 は同じ形なので、それがそのどちらを意味するのかがわかりません。 だから 5 を越える場合は簡単には両手を使えばいいのですが、 中には 6 からの折り返しでは手を裏返しにして 手の甲を手前にして区別する人もいるようです。

上の方法は、見た目にすぐにその数が何であるかわかりやすいので、 それなりにいい方法ですし、これを元にして 10 進数が生まれたと言われています。

しかし「指の折り方の形」は、上のもの以外にも沢山あります。 たとえば、上の折り方には「中指だけを折った状態」は含まれません。 片手では、5 本の指をそれぞれ折るか折らないかがありますから、 全部で \(2^5=32\) 通りの指の折り方があります。 これを 2 進法に対応させれば、 次のようにして片手だけで 0 から 31 まで数えられることがわかります。

親指、人差指、中指、薬指、小指が、 それぞれ 2 進法の下からの桁に対応することがわかると思います。 次が何であるか考えるのが大変そうに見えるかもしれませんが、 それなりに規則性があるので、 慣れると割りと容易に順に動かすことができます。

ただ、この方法の欠点は、指の形を見て、それが (10 進法で言うと) なんの数字であるかを知るのにやや時間がかかることです。 しかし、ある数字を手で保存するとか、他の数字との大小を比較するといった用途なら、 普通の数え方よりも大きな数まで表わせる方法として十分意味があると思います。

大きい数字を表すには、普通の折り方で片手で 0 から 9 (10) までを表し、 でもう一方の手で 10 の桁を保存する、という方法もあるのですが、 これでも両手で 100 (うまくすれば 110) までしか表現できません。 しかし、両手で上のすべての折り方を使う方法で 2 進法で数えれば、 なんと \(2^{10}-1=1023\) まで数えることができます。

もう一つの欠点は、数字によってはやや手が痛い (つりそうになる) ことですかね。
(07/29 2010)
目次に戻る


メジアンと平均の関係について

先日、ある統計データとしてメジアンと平均を比較したものを見る機会がありましたが、 私は統計のことは良く知らないのですが、なんとなく珍しく感じました。

そこで、少しメジアンと平均の関係について考えてみたので、 ここに簡単にまとめておきます。


(03/18 2011)
目次に戻る

「久米のパラドックス」について

最近以下の本で「久米宏のパラドックス」なるものを見ました。

著者も述べている通り、これはそのように流布しているわけではなく、 便宜的に本書の中でそう呼んでいるだけのものですが、 それは以下のような話です:

かなり前のニュースステーションで久米宏が 「交通事故で年間約 1 万人死ぬから、日本の人口を 1 億人とすれば、 今年私が交通事故で死ぬ確率は 1 万分の 1、 小宮さんと小林さんを加えれば 3 人の誰かが今年交通事故で死ぬ確率は 1 万分の 3 になる」 と言っていたが、その理屈でいけば 「ある特定の 1 万人の誰かが今年交通事故で死ぬ確率は 1 万分の 1 万 = 1」になってしまうが、それはおかしい。

本書では、久米さんの理屈はおかしいが、近似としてはあっている、 という形で書いてありますが、実際の数値は示していません。 特に、「特定の 1 万人の誰かが死ぬ確率」については触れていませんので、 折角ですから計算してみました。

実際の交通事故を考えると若干話が面倒なので、 ここでは簡単に

N = 1 億人から M = 1 万人を選びだすときに、 ある特定の L = 1 万人から誰かが選ばれる確率
を考えます。

この確率 P(L) (=P(L;N,M)) の値は、 (N-L) 人から M 人が選ばれる (L 人からは誰も選ばれない) 確率を 1 から引けばいいので、

\(\displaystyle P(L) = 1-\frac{{}_{N-L}C_{M}}{{}_{N}C_{M}}\)
で計算できます。 小さい L でもこの計算は結構大変ですが、L = 3 だと大半が約分されるので
\(\displaystyle P(3) = 1-\frac{{}_{(1億-3)}C_{1万}}{{}_{1億}C_{1万}} = 1-\frac{(1億-1万)(1億-1万-1)(1億-1万-2)}{(1億)(1億-1)(1億-2)} \doteqdot 1-\frac{(1億)^3-3(1万)(1億)^2}{(1億)^3} = \frac{3}{1万}\)
となります。 L = 1 万人の場合はさすがに手では計算できないので、 コンピュータに計算させてみると P(10000) = 0.63 位になります。 これを 1 万人ずつ増やしてみると、以下のようになります:
P(1万) = 0.6322,
P(2万) = 0.8647,
P(3万) = 0.9502,
P(4万) = 0.9817,
P(5万) = 0.9933
確率が 1/2 を越えるのも 5 千人ではなくて、6930 人位のところのようです。

なお、交通事故死亡者数は 1990 年代中頃から減り続け、 1995 年頃から死亡者数も 1 万人を切り、 昨年 (2010 年) はその半数以下の 5000 人弱となっています。


(08/24 2011)
目次に戻る

連続曲線の交点について

中間値の定理は、連続曲線と直線の交点の保証のような定理と見ることができますが、 では、平面内の連続曲線同士の交点についてはどうでしょうか。 それはブラウアーの不動点定理の応用例として示すことができるようですが、 それをここにまとめておきます。


(04/16 2012)
目次に戻る

地球の重力について

3 重積分の極座標変換の例として、 地球の重力の計算を紹介します。 そしてそれにより、ついでに

のような疑問についても考察します。


(01/06 2013)
目次に戻る

表が出るまで投げ続ける確率の問題について

確率に以下のような有名な問題があります (「サンクトペテルブルグのパラドックス」と呼ばれているようです)。

「10 円玉を、表が出るまで投げ続けてくれ。 1 回で表が出れば 10 円あげるが、 2 回目に初めて表が出たら倍の 20 円やろう。 3 回目に初めて表が出たら、さらにその倍の 40 円やる、 という具合に、裏が出続ける度に賞金を倍にする。 これは、期待値は無限大になるから、 100 万円払っても必ずあなたが得をするはずだが、 これを 1 万円払ってやらないかね。」
確かに、この場合の賞金の期待値は無限大になるのですが、 1 万円でやるかと言われると、 たいていの人が断わるのではないか、という話です。

それは、半分の確率で 10 円、3/4 の確率で 20 円以下にしかならず、 1 万円だと参加費が高いと感じるからだと思いますが、 例えば宝くじもほとんどの人が当たらないのに高額賞金を夢見て 多くの人が実際に宝くじを買っていること、 およびこの賭けの方が期待値ははるかに高いことを考えると、 やや微妙な気もします。

それで、これについて、

などの観点で少し考えてみましたので、 それをここにまとめておきます。


(06/19 2013)
目次に戻る

カッコや優先順位などについて

学生の答案を見ていると、式の書き方などに気になるところがあります。

数式には優先順位やカッコの使い方などがあり、 それが身についていないのでは、と思えるものもありますが、 よく考えてみると、数式の書き方には暗黙の了解や、 慣習に従うあいまいな部分などもあり、 ある意味では学生だけを責めるわけにもいかないような気もします。

そのような箇所をいくつかあげて考察してみましたので、 それをここに置きます。

なお、本稿には 私がまだ気がついていない追加すべき内容が多々あるような気がするし、 論点整理もかなり必要だろうと感じています。

よって、今後も必要なら本稿は随時更新するか、 あるいは全面改訂した新しい資料を作成したいと考えています。


(11/03 2013)
目次に戻る

懸垂線に関する質問について

先日、懸垂線について質問を受けました。 懸垂線とは、電線のように 2 点を固定して張った電線やひも、鎖などが、 自重により少したわんだ曲線になるもので、 この曲線は双曲線関数 cosh で表されることが知られています。 これに対して受けた質問とは、以下のようなものでした。

これは、「懸垂線が cosh で表されることは知っているが、 そこに現れるパラメータを、 すべてその与えた条件で決定することができるか」 という話のようで、よくよく聞いてみると、それはどうやら、

という質問であることがわかりました。 これらについて少し考えてみたことを以下にまとめておきます。


(11/05 2013)

訂正ですが、p6 の式 (12) の 2 本目の式の最後の「2」が不要です。 指摘をして頂いた方、どうもありがとうございました。 何かの折に、以下のファイルも訂正しておきたいと思います。
(02/12 2016)


目次に戻る

財布の中の小銭の最適化について

消費税などのため財布には常に小銭がかなり入っていて、 その小銭での支払いに気を使う人が多いのか、 どのように支払えば小銭を増やさずに済むか、 という記事を最近 Web 上でいくつか目にしました。

しかし、それらには数学的な証明がついていないようだったので、 基本的な話から数学的に考察してみました。 それをここにまとめておきます。


(11/19 2014)
目次に戻る

タンジェントのフーリエ級数について

先日、ふとインターネット上で、「tan(x) はフーリエ級数に展開可能?」 という質問を見つけました ( http://okwave.jp/qa/q1251359.html, 2005 年 3 月 5 日の書き込み)。

これに対して、「超関数 (distribution) の空間ならうまくいくのでは」という 回答がついていましたが、 実は最近ちゃんとした超関数の和書を手に入れにくく、 例えば「超関数のフーリエ級数」といった話を調べることは あまり容易ではないように思います。

そこで、せっかくなので、少しこの問題を題材として、 超関数のフーリエ級数の理論についてここにまとめておきます。

なお、本稿では、超関数の基本やフーリエ級数の基本的な性質については 既知のこととして話を進めています。 それぞれの知識について、適当な本が必要になるかもしれません。


(06/01 2015)
目次に戻る

最速降下線について

最速降下線の問題の解が「サイクロイド」 という曲線で与えられることは良く知られています。 私もそれはぼんやりとは知っていて、 以前実際に計算したこともありました。

しかし、実際に境界値を与えたときに、 どのようなサイクロイドがその最速降下解を与えるのか、 そしてどのように落ちるのか、まではよく認識していませんでした。

今回、あらためて計算し、 さらにいくつか疑問に思うことなども含めて計算してみたので、 ここにまとめておきます。


(01/08 2016)

最後の参考文献のところの URL の文字が一部欠落していたため、 そのページだけ修正しました。
(01/31 2017)


目次に戻る

等時降下曲線

以前 「最速降下線について」 で、 ある地点からある地点までの 2 次元的な最速降下曲線は逆さサイクロイドであり、 さらにその逆さサイクロイドは「等時降下性」、 すなわち最下点に降りるまでの時間が曲線のどこからスタートしても同じ、 という性質を持っていることを示しました。

逆に、「等時降下性を持つ曲線はサイクロイドだけなのか」 という疑問がうかび、それを少し考えてみましたので、 ここにまとめておきます。

なお、「等時降下性」とは一般的な用語ではないと思いますが、 それに対応する用語を見つけられなかったので、 ここではとりあえずそう呼ぶことにしています。

追加ですが、この問題は「アーベルの問題」 という問題に含まれることがわかりましたので、 その節を追加しました。
(03/22 2017 追加)


(02/03 2017; 03/22 2017 更新)
目次に戻る

レーダーチャートの面積と隣接積の和

先日、ふとネット上で「レーダーチャートの面積」という言葉を見かけました。 レーダーチャートは、 正多角形の中心から各頂点に結んだ線分を軸とみてその上に各値を取り、 それを多角形的に結んだグラフで、 データのどういう要素が強いか弱いかを見やすくしたものです (例: 「gnuplot に関する情報やメモ (01/29 2015)」)。

レーダーチャートは、平均値などの標準的な値との比較で用いられることが多いのですが、 比較の大小はあくまで各軸毎に行われ、 その「面積」を比較することは通常は行われません。その話と、 そこから派生して、数列の隣接積の和の最大最小問題について考えてみましたので、 ここにまとめておきます。


(02/09 2017)
目次に戻る

地中の最速降下線

以前 「最速降下線について」 で、 鉛直真下方向の重力に対する 2 点間の最速降下曲線について考察し、 それがサイクロイドであることを説明しました。 その事実は割と有名で、 最速降下曲線と変分法に関する資料は インターネット上にも多く公開されています。

中にはその応用として、 例えば地球上のかなり離れた 2 地点でも、 地中にサイクロイドのトンネルを掘れば、 摩擦や空気抵抗がなければ 何百 km をエネルギーなしで数分という短い時間でたどりつく、 という話を紹介しているものもあります。

確かに、2 地点が数百 km 程度の距離であれば、 地球全体から見ればそのトンネルはかなり地表近くなので、 重力はその行程で平行に鉛直真下にかかると考えてよいでしょうし、 地中での重力の強さも一定と考えていいでしょうが、 その 2 地点が地球の大きさに比べてかなり離れた場所で、 そのトンネルがかなり深くなれば、 重力の方向は地球の中心を向くためその行程で平行ではなくなり、 深いトンネルでは重力の大きさも変わってくるので、 最速降下曲線はサイクロイドとは別の曲線になりえます。

今回は、そのような地中内部にトンネルを掘った場合の最速降下曲線について 考えてみましたので、ここにまとめておきます。


(02/24 2017)
目次に戻る

死ぬフィボナッチ数列と人口分布の方程式

良く知られているフィボナッチ数列は、Wikipedia などによれば、 元々は 1 組のうさぎのつがいからその子孫が生まれる場合の、 その n 世代目のつがいの総数を表すものとして考えられたそうです

しかし、そこでは「うさぎの死」は考慮されておらず、 最初のうさぎも永遠に生き続け、そして永遠に子孫を産み続けるものと して計算されています。

そこで、一定期間後にうさぎが死ぬと考えた場合に、 その数列がどうなるかを考えてみましたので、ここにまとめておきます。 また、ついでに離散的な数列から連続的な人口分布モデルに拡張した話も 簡単に紹介します。


(03/22 2017)
目次に戻る

地中最速降下線と内サイクロイド

以前、「地中の最速降下線」 で、 地球の中心からの重力を考えた場合の地中の最速降下線を考察し、 特に地中が均質である場合は、 極座標形式の式が得られることを示しました。

そして、その最後に、

「この曲線はサイクロイドではないし、 具体的な名前がついている曲線なのかはわからない」
と書いたのですが、 「重力利用の交通」 (斎藤基彦、2006) によれば、 この均質な場合の地中の最速降下線は内サイクロイドであるようなので、 それを計算してみましたので、ここにまとめておきます。


(08/02 2017)
目次に戻る

20 度、40 度、80 度の三角関数の積について

先日、ある高校の先生から、「sin20°×sin40°×sin80°」 が簡単な値 (\(\sqrt{3}/8\)) になるのだが、それはなぜなのか、 という質問を受けました。 積和の公式を用いて変形すれば確かにそのようになるのだが、 なぜそうなるのかを知りたい、という話でした。

これについて調べたこと、考えたことを、ここにまとめておきます。


(12/08 2017)
目次に戻る

三角関数のグラフの下の面積について

以前、sin x の導関数が cos x となることを、 極限ではなく図を用いて示す方法を紹介しました (「極限を用いない微分の公式の証明」)。

一方、0≦ x≦π の範囲で、y = sin x のグラフと x 軸が囲む部分の面積 A は、 A = 2 になることが定積分によりわかりますが、 これも易しく説明することはできないか、と考えてみました。

この面積は曲線で囲まれるため、円の面積の場合と同様、 ある程度は区分求積法の考え方、 すなわち細かく分けたものの和の極限のような見方は必要になりますが、 とりあえずある程度易しい説明を見つけることができたので、 ここにまとめておきます。

これについて調べたこと、考えたことを、ここにまとめておきます。


(12/13 2017)
目次に戻る

財布の小銭の最適化 その 2

以前、「財布の中の小銭の最適化について」 で、財布の中の小銭をできるだけ減らすには どのように支払えばよいかを数学的な証明をつけて考察しました。

その際は、どのように支払えばよいかを「表側」から考察したのですが、 逆におつりと合わせて財布に残る側から考えることで、 前回の考察を簡略化できる部分があることに気がついたので、 それをここにまとめておきます。


(12/20 2017)
目次に戻る

ポイント還元について

最近はスーパーマーケット、書店、家電量販店など、 多くの店が独自の「カード」を作っていて、 ポイント制度、値引き制度などで客を呼ぼうとしているようですが、 店毎に仕組みも違い、私もよくは理解していません。

それに関して、ある高校の先生から、 「家電量販店の 10 % ポイント還元は、実質何割引きに相当するのか」 という質問をされました。 ネットで検索してみると、同じ疑問を持つ人が多いのか、 かなり同様の質問や解説が上がっているようですが、 質問者は「複利」のような構造があるという話をしていたので、 簡単に調べて考察してみました。それをここにまとめておきます。


(02/15 2018)
目次に戻る

3 乗根と平方根の 2 重根号について

高校では教わりませんが、そして実は大学でも普通は教わりませんが、 2 次方程式と同様に 3 次方程式にも解の公式があり、 すべての 3 次方程式は、3 乗根と平方根と複素数を使って 解を表すことができます。

しかし、その公式は 3 乗根と平方根の 2 重根号で表現され、 方程式が例えば整数などの簡単な解を持っていても、 その公式を使うとそれが 3 乗根と平方根の 2 重根号で書かれてしまって、 それが簡単な解であることがわからない、という問題もあります。

本稿ではそれを逆用し、3 次方程式の解を利用して 3 乗根と 平方根の 2 重根号を外す方法について考察してみました。 それをここにまとめておきます。


(03/02 2018)
目次に戻る

多重剛体振り子の方程式

以前、ある問題を考察するために、 「n 重剛体振り子」の方程式を考えたことがありました。 また最近その問題を思い出して、ついでにその数値計算もしてみたのですが、 あまりうまくいかず、もしや方程式の導出が間違えているのかと思って ネット上を探してみたのですが、 「n 重振り子」の方程式はあるものの、 「n 重剛体振り子」の方程式はまともなものがあまりないようでした。

一方で、「n 重剛体振り子」のシミュレーション例はネット上にもあるし、 カオスとの関係で 2 重や 3 重の剛体振り子の実験例などは結構目にします。 となれば、私が導出した n 重剛体振り子の方程式を 置いておくことにも意味がないわけではなさそうなので、 それをここにまとめておきます。


(11/12 2018)
目次に戻る

軸対称図形の重心

上の 「重心について」 の最後に予告した、 扇形や球面、球の一部などの、軸対称図形の重心の計算について、 およびそれに関連する話などを、ここにまとめておきます。


(03/05 2019)
目次に戻る

回帰直線との差の分布について

1 回目と 2 回目のテストの点数のような 2 次元データの回帰直線は、 学生の成績の伸びを見るのに使われたりします。

その際、1 回目の点数と、成績の伸びの関係を見るために その散布図を書いてみると、かなり相関のなさそうな図ができます。 その相関について考えてみましたので、ここにまとめておきます。


(06/04 2019)
目次に戻る

自然数の巾乗の和について

高校の数列の授業では、自然数の巾 \(k^p\) の \(k\) に関する有限和の p=1,2,3,4 程度に対する公式を紹介しています。 しかし大学で、この続きの公式を紹介することはまずありませんし、 実際にそれを用いることも多分ほとんどありません。

一方で、一般の自然数 p に対するその和を n の式で表す公式も知られていて、 「ファウルハーバーの公式」などと呼ばれることも あるようですし、さらに「ファウルハーバーの定理」として その和に関する性質も多少知られているようですが、 Web 上にあるその説明は、 代数的な計算の紹介やベルヌーイ数によるものが多いようですし、 高校の数学でも \((k+1)^{p+1}-k^{p+1}\) の展開式を用いて代数的に導く計算で示されていると思います。

それに対し、「解析的」、すなわち微積分を用いて それを計算する方法を考えてみましたので、 ここにまとめておきます。


(03/16 2020)
目次に戻る

sinnx/xm の広義積分

何かの折に、インターネット上に

\(\displaystyle J_n = \int_0^{\infty} \left(\frac{\sin x}{x}\right)^n dx\)
の計算がいくつか紹介されていることに気がつきました。

これは広義積分で、特に \(n=1\) のものは、 ルベーグ積分では積分できないが、 リーマン広義積分が存在する例として有名なもので、 ディリクレ積分とも呼ばれ、 その値は \(\pi/2\) になることが知られていいます。

\(\sin x/x\) は、信号処理分野などでよく用いられるものらしく、 sinc 関数などという名前でも呼ばれています。 そのためか、意外に多くのサイトで \(J_n\) の計算が紹介されているのに少し驚きました。

それに関係して、それを少し拡張したもの

\(\displaystyle I_{n,m} =\int_0^{\infty}\frac{\sin^n x}{x^m} dx\)
を考察してみましたので、ここにまとめておきます。


(12/17 2020)
目次に戻る

sinnx/xm の広義積分 その 2

以前 sinnx/xm の広義積分」 で、 整数の \(n,m\) に対する広義積分

\(\displaystyle I_{n,m}=\int_0^{\infty}\frac{\sin^n x}{x^m}dx\)
の収束性とその値について考察しました。

そしてその最後に、\(m\) を実数にした場合もいずれ考えると書きましたが、 それを考察してみましたので、ここにまとめておきます。


(12/24 2020)
目次に戻る

1 次元ノズル流方程式の導出について

管楽器のように、場所により断面積が一定ではない管の中の 1 次元的な気体の流れを記述するノズル方程式は、 より一般の 3 次元的な気体運動を表す圧縮性オイラー方程式を 導くのと同様、積分形の保存則に戻って、そこから微分方程式を導く方法を 取っていることが多いようです。

しかし、3 次元オイラー方程式を導く際にすでにその方法、 すなわち積分形の保存則から微分方程式を導く方法を 用いているので、 積分形の保存則を経由せずに 3 次元オイラー方程式から直接 ノズル方程式を導くこともできそうな気がします。 それを考察してみたので、ここにまとめておきます。


(01/11 2022)
目次に戻る

直管ではない管の自然倍音について

高校の物理で学ぶ直管の気柱共鳴の倍音列と、 直管でない気柱共鳴の関係について、 いわゆる「ホーン方程式」(ホルン方程式、 Wikipedia) を用いて、数式で考察をしてみました。 特に Wikipedia で紹介されている断面の例について、 その解と自然倍音の共鳴周波数を求めてみましたので、 ここにまとめておきます。


(01/11 2022)
目次に戻る

半ベッセル関数について

\(\nu\) 次のベッセル関数、ノイマン関数は、 \(\nu=n+1/2\) (\(n\): 自然数) の場合は、 「半ベッセル関数」と呼ばれることがありますが、 これらは \(\sin x\), \(\cos x\) で表せることが知られていますし、 ヘルムホルツ方程式とも関係し比較的よく現れるもののようです。

この半ベッセル関数を \(\sin x\), \(\cos x\) で表す公式や いくつかの具体的な式は、数学辞典や公式集などでも紹介されていますが、 その具体的な式を導くのに多少便利な漸化式について考察してみましたので、 ここにまとめておきます。


(01/11 2022)
目次に戻る

デルタ関数と関数の積の微分について

先日、デルタ関数とその導関数が出てくる式について質問されたのですが、 その計算の途中で、デルタ関数と関数の積の微分について、 ふと疑問に思った式があったので、ここに紹介します。

ちなみに、今回は私自身の間違いから気がついたもので、 超関数についてはそれなりに詳しく勉強したはずなんですが、 その自戒も込めてここに残しておきます。


(01/11 2022)
目次に戻る

一定間隔を開けた閉曲線の弧長の差

よく、以下のような問題を目にすることがあります。

地球全体にロープを 1 周させるとその長さは 4万 km ほどになる。 さらにそのロープ全体を地表から 1m の高さに持ち上げた形にするには、 ロープをどれくらい追加しないといけないか。
地球スケールだと一見何 km もつぎ足しが必要なようですが、 実はつぎ足しは 2π m = 6.3m ほどでよい、という意外性を目的とした問題です。

その説明としては、「円周=2πR」という数式でされるようですが、

について考えてみましたので、ここにまとめておきます。


(05/18 2022)
目次に戻る

ある定積分について その 2

研究の途中ででてきたある定積分

\(\displaystyle I_0 = \int_0^{\infty}\frac{1}{x}\, \log\left|\frac{x+1}{x-1}\right|dx\)
の値を求めることはあまり易しくありません。 また、少し面白い性質もあります。それらをここにまとめておきます。


(11/14 2022)
目次に戻る

一方向の拡大が相似になる曲線

放物線は、すべて相似であることが知られています。 すなわち、放物線を y 方向 (または x 方向) にのみ拡大しても、 元の放物線と相似になります。

そのような曲線が他にもないか考えてみましたので、ここにおきます。


(06/06 2023)

PDF ファイル、画像ファイルが少し変だったので、作成し直しました。
(07/24 2023)

目次に戻る

単振り子と楕円関数

単振り子の運動が楕円関数で表現できる、という事実は、 書籍にもネット上の情報にもたくさん取り上げられているので 今さら改めて説明することはありませんが、 今回別な目的で単振り子に関する話を書き出したところ、 やはり本来の単振り子の解も一度ちゃんと紹介する必要があると感じたので、 そこで備忘録代わりにここにまとめておきます。

なお、楕円関数の単振り子への応用というと、 左右に振れる状況のみを考察することが多いのですが、 本稿では、一応すべての場合について解の表現を行っています。


(12/20 2024)
目次に戻る

複数人ジャンケンで優勝が決まるまでの回数

先日テレビ番組で、「10 人のジャンケンはなかなか終わらない」という 話を耳にしました。 実際に n 人のジャンケンが平均何回位で終わるか、 すなわち n 人から始めて 1 人だけの勝者が決まるまでに行わなければいけない ジャンケンの回数の期待値に関する考察は、 ネットで検索するとかなり出てきます。

これらの多くは平均回数に関する漸化式を使って考察していますが、 私が確率論に関しては素人なせいか、 確率論らしい確率空間や確率変数などの定式化は省かれていて、 漸化式が成り立つことの説明もなんとなく行われているものが多いように感じました。

そこで、そのあたりを多少明確にした話を考えてみましたので、 ここに置きます。


(09/08 2025)

目次に戻る

関数の一次独立性について

「一次独立」「一次従属」という用語は、 元はベクトルの集まりに対するものですが、 工学では関数の集まりに対しても用いられ、 線形微分方程式の理論などで目にすることが多いです。

それは、 「関数」を抽象化された一般的な「ベクトル」と考えていることになるのですが、 「ベクトル」という言葉に引きづられてしまうと、 初学者は誤解しがち、あるいは概念の取得が難しくなるため、 「ベクトル」「ベクトル空間」という言葉を使わずに説明している本が多いようです。 逆にそのためか、やや誤解が生じているかのような質問を、 最近ネット上でいくつか目にしました。

また、関数の集まりの一次独立性の判定には、 ロンスキー行列式 (ロンスキアン) が用いられることも多いのですが、 このロンスキー行列式の使い方についても誤解している質問をいくつか見ました。 それらについて少しまとめてみましたのでここに置きます。


(02/17 2026)

目次に戻る
作成日: 03/16 2026
竹野茂治@新潟工科大学 (shige@iee.niit.ac.jp)