基礎数理 III (2 年前期)


目次


講義のページへ戻る

連絡事項

目次に戻る

配布プリント

目次に戻る

その他 (補遺、余談等)


唯一の停留点が極大なら最大か

例年、偏微分の応用として、2 変数関数の極大極小を求める話をしていますが、 工学向けの本ではそこでは停留点を求める計算しか紹介せず、 それが極小であることも、最小であることも示していない場合を 見ることがあります。

しかし、局所的な性質である極小 (極大) と、 大域的な性質である最小 (最大) との関係は、 1 変数関数と 2 変数関数ではだいぶ状況が異なり、 2 変数関数の最大最小の問題は、かなり難しいです。 その一つの例として、

2 変数関数が停留点 (極の候補となる点) を一つしか持たず、 そこでその関数が極大となるならば、 それは全体の最大を与えるか
という問題を考えてみましたので、ここにまとめておきます。

なお、この偏微分の極値問題は、従来 (2007 年度前期以前) ならば 基礎数理 III で扱っていた内容でしたが、 現在は基礎数理 IV で扱っていますので、ここに置きます。


(12/14 2008)

HTML 版に PDF ファイルへのリンクを追加しました。
(01/12 2009)

目次に戻る

極大極小の判別定理 38.2 の証明

基礎数理 IV の教科書に、 2 変数関数の極大、極小の判別の定理として定理 38.2 が紹介されていますが、 この定理の証明は、この教科書もそうですが、 2 変数関数のテイラー展開と、2 次形式の評価によるものが多く見られます。 しかし、その方法は、微小評価や 2 次形式に不慣れな学生には 不向きではないかと思います。

そこで、以前講義で説明したこともある、 方向微分を用いることで、 1 変数関数の場合の極の判別法を応用した、 定理 38.2 の別の証明法を紹介します。


(11/14 2014)

目次に戻る

全微分の式変形について

例年、基礎数理 III の講義の全微分のところで、 「全微分の式は工学や物理では、 形式的に割って移項するような式変形が行なわれることがあるが、 それは正しいのだが、ちゃんと示そうとすると面倒である」 という話をしています。

それを「ちゃんと示す」ことをやってみましたので、 ここに置いておきます。


(06/04 2020)

目次に戻る

広義積分の補足

例年基礎数理 III 説明してい「広義積分」について、 授業で話せなかったことを、補足としてここにいくつかまとめておきます。


(06/25 2021)

目次に戻る

方向微分と勾配

基礎数理 III の講義では、2 変数関数の偏微分を説明していますが、 3 変数のベクトル解析で良く知られている「方向微分」や「勾配」 の話は教科書には出てきません。 しかし、これらも 2 変数関数を解析する上では重要な道具なので、 2 変数関数の場合の「方向微分」や「勾配」についてここにまとめておきます。


(04/24 2023)

目次に戻る

復習問題 4 の積分

2023 年度復習問題 4 回目の [1] は、極限まで直すことが目標で、 積分の計算までは求めていませんでしたが、 置換積分を利用すればちゃんと計算ができます。 余談として、それをここで紹介します。

まず、不定積分 \(\displaystyle J=\int\frac{dx}{\sqrt{(3-x)(x-1)}}\) を求めます。

2 次関数 \(y=(3-x)(x-1)\) は \(x=2\) に頂点がある関数なので、 まずそこに平行移動して頂点を \(y\) 軸に移動します。すなわち、 \(x-2=s\) と置換します。すると、

\(dx = ds\), \((3-x)(x-1) = (3-s-2)(s+2-1)=(1-s)(s+1)=1-s^2\)
となるので、
\(\displaystyle J = \int\frac{ds}{\sqrt{1-s^2}} = \sin^{-1} s + C = \sin^{-1}(x-2) + C\)
となります。よって [1](1) の積分は、
\(\displaystyle I = \lim_{t\rightarrow 3-0}\left[\sin^{-1}(x-2)\right]_2^t = \lim_{t\rightarrow 3-0}\{\sin^{-1}(t-2)-\sin^{-1}0\} = \sin^{-1}1 - \sin^{-1}0 = \frac{\pi}{2} \)
となります。また、[1](2) の積分は、
\(\displaystyle I = \lim_{t\rightarrow 1+0}\left[\sin^{-1}(x-2)\right]_t^2 = \lim_{t\rightarrow 1+0}\{\sin^{-1}0-\sin^{-1}(t-2)\} = \sin^{-1}0 - \sin^{-1}(-1) = \frac{\pi}{2} \)
となります。 どう置換すればよいかさえわかれば、それほど難しくはありません。
(05/15 2023)

目次に戻る

全微分可能性とそれに関連する話

2 変数 (および 3 変数以上) の関数について、 工学部の講義では偏微分の計算や接平面、1 次近似式としての全微分

\(\displaystyle dz = \frac{\partial z}{\partial x}\,dx + \frac{\partial z}{\partial y}\,dy\)
などは説明しますが、「全微分可能性」について触れることはあまりないですし、 そもそも工学部向けの教科書は 「全微分可能性」について書いてなかったりもします。

しかし、「全微分可能性」は、1 変数の微分可能性に対応する 多変数関数の「微分可能性」を示すものですし、 講義では説明しないが接平面の存在を保証したり、 合成関数の微分の公式にも関係するものでもあるから、 それなりに重要な概念であり、 可能であれば工学部の学生も知っておいた方がいいものだと思います。

そこでこの「全微分可能性」とその周辺の話題について 少しまとめてみましたので、ここに置きます。

また、「複素関数論」で出てくる複素関数の複素微分可能性も、 この全微分可能性と深い関係がありますが、これについても解説します。


(06/19 2023)

目次に戻る

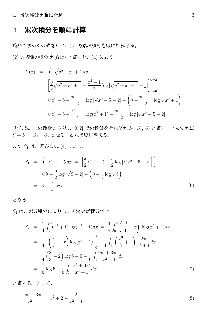
復習問題のある積分の計算

基礎数理IIIの復習問題で、\(z=x^2+y^2\) の [-1,1]×[-1,1] 上の部分の曲面積を累次積分で表わせ、という問題を出しましたが、 「実際の積分の計算は面倒」と説明しました。 せっかくなのでこれがどれくらい面倒なのか、 まとめてみましたのでここに置きます。


(06/20 2025)

目次に戻る
作成日: 06/20 2025
竹野茂治@新潟工科大学 (shige@iee.niit.ac.jp)