39 Boxplot

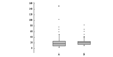
boxplot は、値の統計的な分布を表現する一般的な方法です。gnuplot の boxplot は常に鉛直向きで、値の分布は y 軸に沿って表示します。四分位境 界は、1/4 の点が第一四分位境界以下の y の値を持つように、1/2 の点が第 二四分位境界 (メジアン) 以下の y の値を持つように、等と決定されます。 第一四分位と第三四分位の間の領域を囲むように箱を描画し、メジアン値のと ころには水平線を描きます。箱ひげは、箱からユーザ指定限界まで延長します。 それらの限界の外にある点 (外れ値) は、ひとつひとつ描画します。boxplot の幅は、set boxwidth か plot コマンドの using 指定の 3 列目を与え ることで制御できます。

書式


    2 列:   x-position        y-value
    3 列:   x-position        y-value  boxwidth
    4 列:   first-x-position  y-value  boxwidth  category

Image figure_boxplot
boxplot の水平位置は、通常 plot コマンドの using 指定の最初の列に定 数値 (x-position) として与えたものになります。その boxplot の位置の下 に特定のラベルを置くことができますが、それには、plot コマンドに xticlabel 指定を追加するか (2 列、または 3 列書式)、または独立したデ ータ列内の文字列を与えるか (4 列書式)、の方法があります。以下の例は、 両方とも boxplot サンプル図のレイアウトと同様のグラフを生成します。


    #
    # 2 つの異なるファイルからの y 値の分布の比較
    set border 2                    # 左境界線のみ
    set xtics nomirror scale 0      # 目盛り刻み無し、ラベルのみ
    set xtics ("A" 1., "B" 2.)      # 下の `using` の第 1 列の x 座標
    set ytics rangelimited nomirror
    plot 'dataset_A' using (1.):2 with boxplot, \
         'dataset_B' using (2.):2 with boxplot


    #
    # 同じファイル内の 2 つのデータカテゴリの y 値の比較
    # 各行の 1 列目にはカテゴリを示す文字列 ("A" か "B")、2 列目にデ
    # ータ値が含まれ、ラベルはカテゴリ文字列から自動生成する
    start_x = 1.0
    boxwidth = 0.5
    plot 'mixeddata' using (start_x):2:(boxwidth):1 with boxplot

デフォルトでは、using で第 2 フィールドに指定した列のすべての y の値か ら、ただ 1 つの boxplot を生成します。もし using で第 4 フィールドを 指定した場合は、その入力列の内容は個別のカテゴリを識別するための文字列 として使います。入力列にある個々のカテゴリに対して、別な boxplot を描 画します。それらの boxplot 間の水平間隔は、デフォルトでは 1.0 ですが、 それは set style boxplot separation で変更できます。デフォルトでは、 カテゴリ識別子は、各 boxplot の下の目盛りラベルとして書きます。 もしカテゴリ列に数値が含まれていても、それはやはりあくまで文字列として 扱われるので、boxplot x 座標には通常は対応しません。

入力ファイル内のデータ点の順序は重要ではありません。データ点が入力ファ イル内で 2 行の空行で分離される複数のブロックになっている場合は、個々 のブロックはキーワード index で選択するか、またはデータブロック番号 (column(-2)) を第 4 列のレベル値として使用することができます。以下 参照: pseudocolumns (103.3.11.3), index (103.3.6)

デフォルトでは箱ひげは、箱の端から、y の値が四分位範囲の 1.5 倍以内で 最も離れているような点まで延長します。外れ値は、デフォルトでは円 (point type 7) で描きます。箱ひげの端の棒の幅は、set barsset errorbars で制御できます。複数の外れ値が同じ y の値を持つ場合、 水平方向に 1 文字幅分ずらしますが、その間隔は、set jitter で制御でき ます。

これらのデフォルトの性質は set style boxplot コマンドで変更できます。 以下参照: set style boxplot (116.88.2), bars (116.28), boxwidth (116.7), fillstyle (116.88.4), candlesticks (41)

竹野茂治@新潟工科大学
2025-09-01